エプジコム配合錠の添付文書
- 薬カード
- Q&A
- 添付文書
- 患者向医薬品ガイド(PDF)
- くすりのしおり

| 商品名: | エプジコム配合錠 |
|---|---|
| 一般名: | アバカビル・ラミブジン(ABC+3TC) |
| 略称 : | EZC |
添付文書の読み方
ここで提供している添付文書情報は、2013年6月28日現在の各医薬品の添付文書を基に作成したものです。書式等については、実際の添付文書と異なるところがあります。添付文書情報は随時更新されます。ご使用の際は、必ず最新の添付文書をご覧下さい。
また、記載されている内容には、専門的な情報が含まれています。文書内の、
この色の文字をクリックすると、別ウィンドウに読み方のアドバイスが表示されます。
この色の文字をクリックすると、別ウィンドウに重大な副作用の解説が表示されます。
この色の文字をクリックすると、別ウィンドウに副作用の症状とその類似語、定義の解説が表示されます。
記載されている情報をご覧になり、疑問などを持たれた場合は、医師・薬剤師にご相談ください。
※このページを開いた時に目次が自動的に表示されなかったときは、ここをクリックしてください。
2013年1月改訂(第9版)
【警告】
1.過敏症:
- 海外の臨床試験において、アバカビル投与患者の約5%に過敏症の発現を認めており、まれに致死的となることが示されている。アバカビルによる過敏症は、通常、アバカビル製剤による治療開始6週以内(中央値11日)に発現するが、その後も継続して観察を十分に行うこと。
- アバカビルによる過敏症では以下の症状が多臓器及び全身に発現する。
- アバカビルによる過敏症が発現した場合には、決してアバカビル製剤(本剤又はザイアジェン錠)を再投与しないこと。本製剤の再投与により数時間以内にさらに重篤な症状が発現し、重篤な血圧低下が発現する可能性及び死に至る可能性がある。
- 呼吸器疾患(肺炎、気管支炎、咽頭炎)、インフルエンザ様症候群、胃腸炎、又は併用薬剤による副作用と考えられる症状が発現した場合あるいは胸部X線像異常(主に浸潤影を呈し、限局する場合もある)が認められた場合でも、アバカビルによる過敏症の可能性を考慮し、過敏症が否定できない場合は本剤の投与を直ちに中止し、決して再投与しないこと。
- 患者に過敏症について必ず説明し、過敏症を注意するカードを常に携帯するよう指示すること。また、過敏症を発現した患者には、アバカビル製剤(本剤又はザイアジェン錠)を二度と服用しないよう十分指導すること。
(「禁忌」、「重要な基本的注意」及び「副作用」の項参照)
2.B型慢性肝炎を合併している患者では、ラミブジンの投与中止により、B型慢性肝炎が再燃するおそれがあるので、本剤の投与を中断する場合には十分注意すること。特に非代償性の場合、重症化するおそれがあるので注意すること。
【禁忌】
(次の患者には投与しないこと)【組成・性状】
1.組成
| 成分・含量 | 1錠中にラミブジン300mg、アバカビル硫酸塩702 mg(アバカビルとして600mg) |
|---|---|
| 添加物 | ステアリン酸マグネシウム、結晶セルロース、 デンプングリコール酸ナトリウム、ヒプロメロー ス、酸化チタン、マクロゴール400、ポリソルベー ト80、黄色5号 |
2.性状
本剤はだいだい色のフィルムコート錠で、識別コード及び形状は下記のとおりである。
| 販売名 | 識別コード | 表 | 裏 | 側面 | 質量 |
|---|---|---|---|---|---|
| エプジコム配合錠 | GS FC2 |
![]() 長径:20.3mm 短径: 8.9mm |
|
厚さ:8.3mm |
1416mg |
【効能又は効果】
HIV感染症
効能又は効果に関連する使用上の注意
- 本剤はラミブジン及びアバカビルの固定用量を含有する配合剤であるので、ラミブジン又はアバカビルの用量調節が必要な次の患者には個別のラミブジン製剤(エピビル錠)又はアバカビル製剤(ザイアジェン錠)を用いること。なお、ラミブジン製剤及びアバカビル製剤の使用にあたっては、それぞれの製品添付文書を熟読すること。
- 本剤はラミブジン及びアバカビルの固定用量を含有する配合剤であるので、本剤に加えてラミブジン製剤(エピビル錠、コンビビル配合錠、ゼフィックス錠)又はアバカビル製剤(ザイアジェン錠)を併用投与しないこと。
- 無症候性HIV感染症に関する治療開始については、CD4リンパ球数及び血漿中HIV RNA量が指標とされている。よって、本剤の使用にあたっては、患者のCD4リンパ球数及び血漿中HIV RNA量を確認するとともに、最新のガイドライン1)~3)を確認すること。
- ヒト免疫不全ウイルス(HIV)は感染初期から多種多様な変異株を生じ、薬剤耐性を発現しやすいことが知られているので、本剤は他の抗HIV薬と併用すること。
【用法及び用量】
通常、成人には1回1錠(ラミブジンとして300mg及びアバカビルとして600mg)を1日1回経口投与する。
用法及び用量に関連する使用上の注意
- アバカビルによる過敏症の徴候又は症状を発現した場合は、本剤を投与中止すること。
- 本剤と他の抗HIV薬との併用療法において、因果関係が特定されない重篤な副作用が発現し、治療の継続が困難であると判断された場合には、本剤若しくは併用している他の抗HIV薬の一部を減量又は休薬するのではなく、原則として本剤及び併用している他の抗HIV薬の投与をすべて一旦中止すること。
【使用上の注意】
1.慎重投与
(次の患者には慎重に投与すること)
- 膵炎を発症する可能性のある患者(膵炎の既往歴のある患者、膵炎を発症させることが知られている薬剤との併用療法を受けている患者)[膵炎を再発又は発症する可能性がある(「重要な基本的注意」の項参照)。]
- 肝障害患者[血中濃度が上昇することにより、副作用が発現するおそれがある(「禁忌」、「効能・効果に関連する使用上の注意」及び「薬物動態」の項参照)]
- 高齢者(「高齢者への投与」の項参照)
- 妊婦又は妊娠している可能性のある婦人(「妊婦、産婦、授乳婦等への投与」の項参照)
2.重要な基本的注意
- 本剤のHIV-2感染症患者に対する有効性・安全性は確認されていない。
- 本剤はHIV感染症治療の経験を有する医師が投与を行うこと。
- アバカビルによる過敏症が疑われたときは本剤の投与を直ちに中止し、決してアバカビル製剤(本剤又はザイアジェン錠)を再投与しないこと(「副作用」の項参照)。
- 呼吸器疾患(肺炎、気管支炎、咽頭炎)、インフルエンザ様症候群、胃腸炎、又は併用薬剤による副作用と考えられる症状が発現した場合でも、アバカビルによる過敏症の可能性を考慮し、過敏症が否定できない場合は本剤の投与を直ちに中止し、決して再投与しないこと。
- 本剤の再投与を考慮する際は、次のことに注意すること。
- アバカビルによる過敏症が疑われた患者には、決して再投与しないこと。
- 本剤又はザイアジェン錠を中止した理由を再度検討し、アバカビルと過敏症との関連性が否定できない場合は再投与しないこと。
- 投与中止前に過敏症の主な症状(皮疹、発熱、胃腸症状等)の1つのみが発現していた患者には、本剤の有益性が危険性を上回ると判断される場合にのみ、必要に応じて入院のもとで投与を行うこと。
- 過敏症の症状又は徴候が認められていなかった患者に対しても、直ちに医療施設に連絡できることを確認した上で投与を行うこと。
- 過敏症が発現した患者には、アバカビル製剤(本剤又はザイアジェン錠)を二度と服用しないよう十分指導するとともに、担当医又は医療施設を変わる場合には本剤による過敏症が発現した旨を新しい担当医に伝えるよう十分指導すること。
- 本剤の使用に際しては、患者又はそれに代わる適切な者に、次の事項についてよく説明し同意を得た後、使用すること。
- 本剤に関する臨床試験実施を含め、更なる有効性・安全性のデータを引き続き収集中であること。
- 本剤はHIV感染症の根治療法薬ではないことから、日和見感染症を含むHIV感染症の進展に伴う疾病を発症し続ける可能性があるので、本剤投与開始後の身体状況の変化については、すべて担当医に報告すること。
- アバカビルの投与後過敏症が発現し、まれに致死的となることが報告されている。過敏症を注意するカードに記載されている徴候又は症状である発熱、皮疹、疲労感、けん怠感、胃腸症状(嘔気、嘔吐、下痢、腹痛等)及び呼吸器症状(呼吸困難、咽頭痛、咳等)等が発現した場合は、直ちに担当医に報告し、本剤の服用を中止すべきか否か指示を受けること。また、過敏症を注意するカードは常に携帯すること。
- アバカビル製剤(本剤又はザイアジェン錠)の再投与により重症又は致死的な過敏症が数時間以内に発現する可能性がある。したがって、本剤の服用を中断した後に再びアバカビル製剤(本剤又はザイアジェン錠)を服用する際には、必ず担当医に相談すること。担当医又は医療施設を変わる場合には本剤の服用歴がある旨を新しい担当医に伝えること。
- 本剤を含む現在の抗HIV療法が、性的接触又は血液汚染を介した他者へのHIV感染の危険性を低下させるかどうかは証明されていない。
- 本剤はラミブジン及びアバカビルの固定用量を含有する配合剤であるので、本剤に加えてラミブジン製剤(エピビル錠、コンビビル配合錠、ゼフィックス錠)又はアバカビル製剤(ザイアジェン錠)をさらに追加して服用しないこと。
- ラミブジン及びアバカビルを含むヌクレオシド系逆転写酵素阻害薬の単独投与又はこれらの併用療法により、重篤な乳酸アシドーシス(全身けん怠、食欲不振、急な体重減少、胃腸障害、呼吸困難、頻呼吸等)、肝毒性(脂肪沈着による重度の肝腫大、脂肪肝を含む)が、女性に多く報告されているので、上記の乳酸アシドーシス又は肝毒性が疑われる臨床症状や検査値異常が認められた場合には、本剤の投与を一時中止すること。特に、肝疾患の危険因子を有する患者においては注意すること。
- 抗HIV薬の使用により、体脂肪の再分布/蓄積があらわれることがあるので、異常が認められた場合には適切な処置を行うこと。
- 本剤を含む抗HIV薬の多剤併用療法を行った患者で、免疫再構築症候群が報告されている。投与開始後、免疫機能が回復し、症候性のみならず無症候性日和見感染(マイコバクテリウムアビウムコンプレックス、サイトメガロウイルス、ニューモシスチス等によるもの)等に対する炎症反応が発現することがある。また、免疫機能の回復に伴い自己免疫疾患(甲状腺機能亢進症、多発性筋炎、ギラン・バレー症候群、ブドウ膜炎等)が発現するとの報告があるので、これらの症状を評価し、必要時には適切な治療を考慮すること。
- 本剤の投与によりまれに膵炎があらわれることがある。膵炎を発症する可能性のある患者(膵炎の既往歴のある患者、膵炎を発症させることが知られている薬剤との併用療法を受けている患者)では、本剤の適用を考える場合には、他に十分な効果の認められる治療法がない場合にのみ十分注意して行うこと。本剤投与中に膵炎を疑わせる重度の腹痛、悪心・嘔吐等又は血清アミラーゼ、血清リパーゼ、トリグリセリド等の上昇があらわれた場合は、本剤の投与を直ちに中止し、画像診断等による観察を十分行うこと。
3.相互作用
併用注意
(併用に注意すること)
| 薬剤名等 | 臨床症状・措置方法 | 機序・危険因子 |
|---|---|---|
| スルファメトキサゾール・トリメトプリム合剤 | ラミブジンのAUCが43%増加し、全身クリアランスが30%、腎クリアランスが35%減少したとの報告がある。 | 腎臓における排泄がラミブジンとトリメトプリムで競合すると考えられている。 |
| ザルシタビン | 細胞内におけるラミブジン及びザルシタビン三リン酸化体が減少し、両剤の効果が減弱するとの報告があるので、ラミブジンとザルシタビンとの併用療法は避けることが望ましい。 | ラミブジンの細胞内におけるリン酸化が競合的に阻害されることが考えられている。 |
| エタノール | アバカビルの代謝はエタノールによる影響を受ける。アバカビルのAUCが約41%増加したが、エタノールの代謝は影響を受けなかったとの報告がある。アバカビルの安全性の観点から、臨床的に重要な相互作用とは考えられていない。 | アルコールデヒドロゲナーゼの代謝基質として競合すると考えられている。 |
| methadone(国内未発売) | methadoneのクリアランスが22%増加したことから、併用する際にはmethadoneの増量が必要となる場合があると考えられる。なお、アバカ ビルの血中動態は臨床的意義のある影響を受けなかった(Cmaxが35%減少し、tmaxが1時間延長したが、AUCは変化しなかった)。 | 機序不明 |
4.副作用
<国内における使用成績調査>
使用成績調査において、総症例624例中202例(32.3%)に臨床検査値異常を含む副作用が報告された。その主なものはトリグリセリド上昇・コレステロール上昇等の脂質増加101例(16.2%)、肝機能検査値異常68例(10.9%)、発疹22例(3.5%)、血中尿酸上昇16例(2.56%)であった(再審査終了時)。
<海外における臨床試験>
HIV感染症を対象とした、ラミブジン製剤(300mg/日)及びアバカビル製剤(600mg/日)1日1回併用投与を行った海外における無作為二重盲検比較試験において、384例中283例(73.7%)に副作用が認められ、主な副作用はめまい73例(19.0%)、異常な夢62例(16.1%)、不眠54例(14.1%)、嘔気53例(13.8%)であった。HIV感染症を対象とした、本剤1日1回投与を行った海外における無作為オープン比較試験において、93例中45例(48.4%)に副作用が認められ、主な副作用は嘔気11例(11.8%)、下痢10例(10.8%)であった。
(1)重大な副作用
1.過敏症:
- 海外の臨床試験において、アバカビル投与患者の約5%に過敏症の発現を認めており、まれに致死的となることが報告されている。
- 過敏症は、通常、アバカビル製剤による治療開始6週以内(中央値11日)に発現するが、その後も継続して観察を十分に行うこと。
-
アバカビルによる過敏症の特徴は多臓器及び全身に症状を認めることである。過敏症を発現するほとんどの患者に発熱又は皮疹が認められる。過敏症の徴候又は症状は以下のとおりである。
皮膚:皮疹*(通常、斑状丘疹性皮疹又は蕁麻疹)、多形紅斑
消化器:嘔気*、嘔吐*、下痢*、腹痛*、口腔潰瘍
呼吸器:呼吸困難*、咳*、咽頭痛、急性呼吸促迫症候群、呼吸不全
精神神経系:頭痛*、感覚異常
血液:リンパ球減少
肝臓:肝機能検査値異常*(AST(GOT)、ALT(GPT)等の上昇)、肝不全
筋骨格:筋痛*、筋変性(横紋筋融解、筋萎縮等)、関節痛、CK(CPK)上昇
泌尿器:クレアチニン上昇、腎不全
眼:結膜炎
その他:発熱*、嗜眠*、けん怠感*、疲労感*、浮腫、リンパ節腫脹、血圧低下、粘膜障害、アナフィラキシー
*アバカビルによる過敏症発現患者のうち10%以上にみられた症状 - 過敏症に関連する症状は、アバカビル製剤の投与継続により悪化し、生命を脅かす可能性がある。
通常、アバカビル製剤の投与中止により回復する。 - アバカビルによる過敏症発現後の再投与により、症状の再発が数時間以内に認められる。これは初回よりさらに重篤であり、重篤な血圧低下が発現する可能性及び死に至る可能性がある。したがって、過敏症が発現した場合は、本剤の投与を中止し、決して再投与しないこと。
- アバカビルによる過敏症の発現及びその重篤度を予測する危険因子は特定されていない。
2.次のような症状があらわれることがあるので、定期的に検査を行うなど観察を十分に行い、異常が認められた場合には、投与を中止するなど適切な処置を行うこと。
- 重篤な血液障害:赤芽球癆、汎血球減少、貧血、白血球減少、好中球減少、血小板減少
- 膵炎
- 乳酸アシドーシス及び脂肪沈着による重度の肝腫大(脂肪肝)
- 横紋筋融解症
- 精神神経系:ニューロパシー、錯乱、痙攣
- 心不全
- 皮膚粘膜眼症候群(Stevens-Johnson症候群)、中毒性表皮壊死融解症(Toxic Epidermal Necrolysis:TEN)
(2)その他の副作用
以下のような副作用があらわれた場合には、症状に応じて適切な処置を行うこと。
| 1%~17%未満 | 1%未満 | 頻度不明注) | |
|---|---|---|---|
| 血液 | リンパ節症、平均赤血球容積(MCV)増加、リンパ球減少 | ||
| 消化器 | 嘔気 | 下痢、腹痛、嘔吐、胃炎、食欲不振 | 痔核、腹部痙直、消化不良、鼓腸放屁 |
| 全身症状 | けん怠感、発熱、頭痛、体脂肪の再分布/蓄積(胸部、体幹部の脂肪増加、末梢部、顔面の脂肪減少、野牛肩、血清脂質増加、血糖増加)、無力症 | 体温調節障害、疼痛、体重減少、疲労、疲労感 | |
| 肝臓 | 肝機能検査値異常(AST(GOT)、ALT(GPT)等の上昇) | ||
| 腎臓 | 血清クレアチニン上昇 | ||
| 筋骨格 | 筋肉痛 | 関節痛、筋痙直、骨痛 | |
| 精神神経系 | めまい、睡眠障害、うつ病 | 感情障害、不安感、末梢神経障害、嗜眠、錯感覚 | |
| 代謝・内分泌系 | 血中尿酸上昇 | 脱水(症)、高乳酸塩血症、アミラーゼ上昇 | |
| 循環器 | 心筋症 | ||
| 呼吸器 | 咳、呼吸困難 | 肺炎、咽頭痛、気管支炎、鼻炎、副鼻腔炎、耳管炎、呼吸障害、上気道炎 | |
| 過敏症 | アレルギー反応 | ||
| 皮膚 | 発疹(皮膚炎、湿疹、皮疹を含む) | そう痒 | 脱毛、発汗、ざ瘡・毛嚢炎 |
| その他 | トリグリセリド上昇・血清コレステロール上昇 | CK(CPK)上昇、血糖値上昇 | 重炭酸塩上昇、重炭酸塩低下、血糖値低下、総蛋白上昇、総蛋白低下、敗血症 |
注)自発報告又は海外のみで認められている副作用については頻度不明とした。
5.高齢者への投与
ラミブジン及びアバカビルの高齢者における薬物動態は検討されていない。高齢者に対し本剤を投与する場合には、患者の肝、腎、及び心機能の低下、合併症、併用薬等を十分考慮し慎重に投与すること。
6.妊婦、産婦、授乳婦等への投与
-
妊婦又は妊娠している可能性のある婦人には、治療上の有益性が危険性を上回ると判断される場合にのみ投与すること。[妊娠中の投与に関する安全性は確立していない。また、動物実験においてラミブジン及びアバカビルに関して次のことが報告されている。
ラミブジン:ラミブジンはヒト胎盤を通過する。出生児の血清中ラミブジン濃度は、分娩時の母親の血清中及び臍帯血中濃度と同じであることが報告されている。なお、動物実験(ウサギ)で胎児毒性(早期の胚死亡数の増加)が報告されている。
アバカビル:動物において、アバカビル又はその代謝物は胎盤通過性であることが示されている。また、動物(ラットのみ)において、アバカビルの500mg/kg/日又はそれ以上の投与量(ヒト全身曝露量(AUC)の32~35倍)で、胚又は胎児に対する毒性(胎児の浮腫、変異及び奇形、吸収胚、体重減少、死産の増加)が認められたとの報告がある。
ラミブジン/アバカビル共通:ヌクレオシド系逆転写酵素阻害薬(NRTI)を子宮内曝露又は周産期曝露された新生児及び乳児において、ミトコンドリア障害によると考えられる軽微で一過性の血清乳酸値の上昇が報告されている。また、非常にまれに発育遅延、てんかん様発作、他の神経疾患も報告されている。しかしながら、これら事象とNRTIの子宮内曝露、周産期曝露との関連性は確立していない。] - 授乳中の婦人には本剤投与中は授乳を避けさせること。[ラミブジン:経口投与されたラミブジンはヒト乳汁中に排泄され、血清中の濃度と同じ(1~8μg/mL)であることが報告されている。アバカビル:ラットにおいてアバカビル及びその代謝物が乳汁中に移行することが報告されており、ヒトにおいても乳汁中に移行することが予想される。また、一般に、HIVの乳児への移行を避けるため、あらゆる状況下においてHIVに感染した女性は授乳すべきでない。]
7.小児等への投与
本剤はラミブジン及びアバカビルの固定用量を含有する配合剤であるので、ラミブジン又はアバカビルの用量調節が必要である12歳未満の小児患者には、個別のラミブジン製剤(エピビル錠)又はアバカビル製剤(ザイアジェン錠)を用いること。
8.過量投与
徴候・症状:ラミブジン、アバカビル共に急性過量投与による特有の徴候、症状は認められていない。
処置:過量投与時には、患者を十分観察し、必要な対症療法を実施すること。具体的なデータは示されていないが、ラミブジンは透析可能であることから、必要に応じ血液透析を行うことを考慮すること。なお、アバカビルが腹膜透析や血液透析により除去されるかどうかは明らかでない。
9.その他の注意
- 本剤の有効成分の一つであるラミブジンについては、遺伝毒性試験において弱い染色体異常誘発作用を示したとの報告がある。また、長期のがん原性試験において発がん性を認めなかったとの報告がある。[ヒト末梢血リンパ球を用いた染色体異常試験では300μg/mL以上、マウスリンパ腫細胞を用いた遺伝子突然変異試験では2000μg/mL以上で陽性を示した。マウス及びラットを用いた長期のがん原性試験では、臨床用量におけるヒト全身曝露量(AUC)の10倍(マウス)及び58倍(ラット)までの曝露量において、発がん性は認められなかった。]
- 本剤の有効成分の一つであるアバカビルについては、細菌を用いた試験では変異原性を認めなかったが、ヒトリンパ球を用いたin vitro染色体異常試験、マウスリンフォーマ試験及びin vivo小核試験では陽性を認めた。これらの結果は、in vivo及びin vitroにおいて、本剤の高濃度を用いた場合に弱い染色体異常誘発作用を有することを示している。
- 本剤の有効成分の一つであるアバカビルについては、マウス及びラットにおける長期がん原性試験において、包皮腺、陰核腺、肝臓、膀胱、リンパ節、皮下組織等に悪性腫瘍がみられたとの報告がある(ヒト全身曝露量(AUC)の24~32倍。ただし包皮腺(ヒトにおいて該当する器官は存在しない)の腫瘍については6倍。)ので、ヒトに対する潜在的危険性と治療上の有益性を十分に検討すること。
- 本剤の有効成分の一つであるアバカビルについては、アバカビルを2年間投与したマウス及びラットにおいて、軽度心筋変性が認められた(ヒト全身曝露量(AUC)の7~24倍の用量)。
- 海外で実施されたプロスペクティブ試験(n=1956)において、アバカビルの投与開始前にHLA-B*5701のスクリーニングを実施しない群と、スクリーニングを実施しHLA-B*5701保有者を除外した群における臨床症状から疑われる過敏症の発現頻度が、それぞれ7.8%(66/847)、3.4%(27/803)、皮膚パッチテストにより確認された過敏症の発現頻度が、それぞれ2.7%(23/842)、0.0%(0/802)であり、HLA-B*5701のスクリーニングの実施により過敏症の発現頻度が統計学的に有意に低下する(p<0.0001)ことが示された。また、本試験結果ではHLA-B*5701をスクリーニングしない群において臨床症状から過敏症が疑われた66例中30例、皮膚パッチテストにて確認された過敏症症例23例全例がHLA-B*5701を有していた。
日本人における過敏症とHLA-B*5701保有の関連性については不明であり、HLA-B*5701の保有率は白人では5~8%、日本人では0.1%との報告がある。
【薬物動態】
1.血中濃度4)
本剤を空腹時単回投与したときのラミブジン、アバカビルの血漿中薬物濃度の推移を図-1及び図-2に、薬物動態パラメータを表-1に示した。

図-1 ラミブジンの血漿中薬物濃度の推移(9例の平均値±標準偏差)

図-2 アバカビルの血漿中薬物濃度の推移(9例の平均値±標準偏差)
| Cmax (μg/mL) |
AUClast (h・μg/mL) |
AUC0-τ (h・μg/mL) |
tmax※ (h) |
t1/2 (h) |
|
| ラミブジン | 3.58 (0.61) |
13.81 (3.56) |
16.30 (5.058) |
2.00 (1.00-3.00) |
2.49 (0.55) |
| アバカビル | 5.68 (2.04) |
12.56 (4.01) |
12.89 (4.22) |
1.00 (0.50-1.03) |
1.50 (0.16) |
n=9、平均値±標準偏差、※中央値(最小値-最大値)
2.分布(外国人のデータ)
(1)ラミブジン単独投与での成績5)
成人HIV感染者に4~10mg/kgを1日2回2週間以上反復経口投与したとき、投与2時間後の脳脊髄液中濃度は血中濃度の約6%であった。
(2)アバカビル硫酸塩単独投与での成績6)~8)
HIV感染症患者(n=6)を対象にアバカビルを150mg静脈内投与したときの見かけの分布容積は約0.86L/kgであり、広く組織に分布することが示唆された6),7)。
アバカビルは10μg/mLまでの添加濃度範囲で、ヒト血漿タンパク結合率は49%と一定であった。また、血液及び血漿中放射能濃度が同じであったことから、本薬は血球に直ちに分布することが示された7)。
HIV感染症患者におけるアバカビルの脳脊髄液(CSF)への移行は良好で、血漿中AUCに対するCSF中AUCの比は30~44%であった7),8)。アバカビル600mg1日2回投与時の最高濃度の実測値はIC50(0.08μg/mLあるいは0.26μM)の9倍であった7)。
3.代謝・排泄(外国人のデータ)
(1)ラミブジン単独投与での成績9)
ヒトでの主代謝体はトランス-スルホキシド体(1-[(2R,5S)-trans-2-hydroxymethyl-1,3-oxathiolan-3-oxide-5-yl]cytosine)であった。成人HIV感染者に2mg/kgを経口投与したとき、投与後12時間尿中にトランス-スルホキシド体が投与量の5.2%存在した。また、血中濃度が定常状態での未変化体排泄率は約73%であり、腎排泄がラミブジンの体内からの除去の主要な経路であることが示された。
(2)アバカビル硫酸塩単独投与での成績7),8)(社内資料)
ヒトにおける主要代謝物は、5'-カルボン酸体及び5'-グルクロン酸抱合体であった8)。ヒト肝由来試料を用いたin
vitro試験から、アバカビルは肝可溶性画分により酸化的代謝を受け5'-カルボン酸体を生成したが、肝ミクロソーム画分ではアバカビルの酸化的代謝は起こらなかった。アバカビルの酸化代謝にはチトクロームP-450ではなく、アルコールデヒドロゲナーゼ/アルデヒドデヒドロゲナーゼ系が関与していた。なお、これらの代謝物には抗ウイルス活性はなかった(社内資料)。
さらに、ヒト肝ミクロゾームを用いたin
vitro試験において、臨床使用量での血漿中濃度ではチトクロームP-450分子種CYP2D6、2C9及び3A4を阻害しないことが示唆された7)。
アバカビルは細胞内で活性代謝物であるカルボビル三リン酸に代謝される。HIV感染症患者(n=20)にアバカビル300mg1日2回投与した時の定常状態における細胞内カルボビル三リン酸の半減期は20.6時間であった(社内資料)。
HIV感染症患者(n=6)を対象に14C標識アバカビル600mgを単回経口投与後、薬物体内動態を検討した。総放射能の約99%が排泄され、主な排泄経路は尿(約83%)であり、糞中には約16%排泄された。尿中に排泄された放射能の約1%は未変化体であり、約30%が5'-カルボン酸体、約36%が5'-グルクロン酸抱合体であった8)。
4.生物学的同等性(外国人のデータ)
健康成人25例に、本剤1錠、及び、エピビル錠(ラミブジン150mgを含有する製剤)及びザイアジェン錠(アバカビル300mgを含有する製剤)各2錠を空腹時単回経口投与し、生物学的同等性を評価した。
本剤投与時とラミブジン製剤及びアバカビル硫酸塩製剤の併用投与時のラミブジン及びアバカビルのAUClast、AUC∞及びCmaxは、生物学的同等性の判定基準(平均値の比の90%信頼区間が0.80~1.25の範囲内)を満たし、生物学的同等性が示された。
5.薬物相互作用
アバカビル硫酸塩単独投与での成績10),11)(社内資料)
アバカビルの主要代謝酵素であるアルコールデヒドロゲナーゼ/アルデヒドデヒドロゲナーゼ系への阻害効果をin
vitro試験において検討した結果、アバカビル自身、これらの酵素を阻害しなかった(社内資料)。
ヒト肝スライスを用いたin
vitro試験において、HIVプロテアーゼ阻害薬であるアンプレナビルはアバカビルの代謝を阻害しなかった(社内資料)。
HIV感染症患者(n=25)を対象にアバカビル600mgをエタノール0.7g/kgと併用して単回投与した場合、アバカビルのAUC∞の上昇及びt1/2の延長がみられたが臨床上重要なものではなかった。
また、アバカビルはエタノールの薬物動態に影響を示さなかった10)。HIV感染症患者(n=15)を対象にアバカビル600mgとジドブジン(300mg)及びラミブジン(150mg)のどちらか1剤あるいは両剤を併用した場合、いずれの併用においても併用薬によるアバカビル血中濃度への影響はみられなかった。一方、アバカビルと併用したラミブジンのAUC∞及びCmaxは、ジドブジン併用、非併用に関わらずいずれも低下した。また、アバカビルと併用したジドブジンは、ラミブジン併用時及び非併用時においてAUC∞の上昇がみられたが、Cmaxは低下した。これらの変化は臨床上重要なものではなかった11)。(外国人のデータ)
6.食事の影響(外国人のデータ)
健康成人25例に、高脂肪食(約1000kcal、約50%が脂肪由来)摂取後に本剤を経口投与したとき、空腹時投与時と比較して、ラミブジンのAUClast、AUC∞、Cmax、及びアバカビルのAUClast、AUC∞に変化は認められなかったが、アバカビルのCmaxは24%低下した。
7.腎機能障害を有する成人における薬物動態(外国人のデータ)
(1)ラミブジン単独投与での成績12)
腎機能の低下したHIV患者にラミブジンを300mg単回経口投与したとき、クレアチニンクリアランスの低下につれてAUC及び最高血中濃度が増加し、半減期が延長し、見かけの全身クリアランスが減少した。
(2)アバカビル硫酸塩単独投与での成績13)
腎疾患患者(GFR:<10mL/min)におけるアバカビルの薬物動態は、腎機能が正常な患者の薬物動態と同様であった。
8.肝障害を有する成人における薬物動態(外国人のデータ)
(1)ラミブジン単独投与での成績14)
中等度及び重度の肝障害を有する患者における成績より、ラミブジンの薬物動態は、肝障害によって重大な影響を受けないことが示されている。
(2)アバカビル硫酸塩単独投与での成績15)
軽度の肝障害(Child-Pugh 分類の合計点数:5)を有するHIV感染症患者におけるアバカビルの薬物動態を検討した結果、AUC及び消失半減期は肝障害を有さないHIV感染症患者のそれぞれ1.89倍及び1.58倍であった。代謝物の体内消失速度にも変化が認められたが、AUCは肝障害による影響を受けなかった。なお、これら患者に対する推奨投与量は明らかでない。
【臨床成績】
<海外において実施された臨床試験の成績>
(1)アバカビルの投与回数を比較した無作為二重盲検比較試験(CNA30021)
治療経験がない成人のHIV感染者770例を対象とした二重盲検比較試験(ラミブジン300mg1日1回とエファビレンツ600mg1日1回の併用による、アバカビル600mg1日1回投与群384例又はアバカビル300mg1日2回投与群386例)を実施した。投与48週後にHIV-1
RNA量が400copies/mL未満であった患者の比率は、アバカビル600mg1日1回投与群、300mg1日2回投与群ともに72%であった。さらに、投与48週後にHIV-1
RNA量が50copies/mL未満であった患者の比率は、アバカビル600mg1日1回投与群が66%、アバカビル300mg1日2回投与群が68%であった(図-3)。
また、投与48週後のCD4リンパ球数の増加量(中央値)は、それぞれ188/mm3、200/mm3であった。
(Intent-to-treat
analysis)
注1)Roche
AMPLICOR HIV-1 MONITOR
注2)治療が中止されることなく血漿中HIV-1 RNA量が50copies/mL未満を達成しかつ維持された患者の比率
図-3 血漿中HIV-1
RNA量が50copies/mL未満の患者の比率
なお、本試験における試験成績の要約を表-2に示した。
| 結果 | アバカビル600mg1日1回 + ラミブジン+エファビレンツ (n=384) |
アバカビル300mg1日2回 + ラミブジン+エファビレンツ (n=386) |
| レスポンダー注1) | 66%(72%) | 68%(72%) |
| ウイルス学的な治療失敗注2) | 10%(4%) | 8%(4%) |
| 有害事象による中止 | 13% | 11% |
| その他の理由による中止注3) | 11% | 13% |
(n=Intent-to-treat analysis)
注1)血漿中HIV-1
RNA量が50copies/mL未満(400copies/mL未満)となり投与48週後まで維持された患者の比率
注2)血漿中HIV-1
RNA量が50copies/mL未満(400copies/mL未満)となったが投与48週後までにリバウンドを起こした患者、ウイルス学的に治療が失敗した患者、ウイルス学的な効果が不十分と判断された患者
注3)同意の撤回、試験途中でフォローアップ不可、プロトコール違反、症状の進行等
(2)本剤とアバカビルとラミブジンの併用療法を比較した無作為オープン比較試験(CAL30001)
抗HIV薬の治療経験がある18歳以上の患者182例を対象とした無作為オープン比較試験(テノホビル300mg1日1回と使用経験のないHIVプロテアーゼ阻害剤又は非核酸系逆転写酵素阻害剤1剤の併用による、本剤1日1回投与群94例又はアバカビル300mg1日2回/ラミブジン300mg1日1回投与群88例)を実施した。48週間の治療により、血漿中HIV-1 RNA AAUCMB値は、本剤投与群で-1.65log10 copies/mL、アバカビル/ラミブジン併用投与群で-1.83log10 copies/mLであり、非劣性であった。48週間の治療後の血漿中HIV-1 RNA量が50copies/mL未満の患者の比率はそれぞれ50%、47%と同等であり、また、血漿中HIV-1 RNA量が400copies/mL未満の患者の比率もそれぞれ54%、57%と同等であった。48週間の治療後のCD4リンパ球数の増加量(中央値)は、本剤投与群で47.5/mm3、アバカビル/ラミブジン併用投与群で95.0/mm3であった。
【薬効薬理】
<ラミブジン>
(1)作用機序16)~18)
ラミブジンは細胞内でリン酸化され、HIVを感染させた細胞内での半減期が約12時間の5'-三リン酸化体に変換される16)。ラミブジン5'-三リン酸化体はHIVの逆転写酵素によりウイルスDNA鎖に取り込まれ、DNA鎖の伸長を停止することによりHIVの複製を阻害する17)。また、ラミブジン5'-三リン酸化体はHIVの逆転写酵素を競合的に阻害する17)。一方、in vitroで、ヒト末梢血リンパ球、リンパ球系・単球-マクロファージ系の株化細胞18)及び種々のヒト骨髄前駆細胞に対するラミブジンの細胞毒性は弱かった。
(2)抗ウイルス作用18),19)
in vitroでのラミブジンのHIV-1(RF、GB8、U455及びIIIB)に対するIC50値は670nM以下、HIV-2 RODに対するIC50値は40nMであり18)、ジドブジンと併用することにより相乗的な抗ウイルス作用が認められた19)。また、ラミブジンは単独で、ジドブジン耐性臨床分離株の平均p24抗原量を薬物無処置群に比べ66~80%低下させた。
(3)薬剤耐性20)~25)
ラミブジンを含む抗HIV薬で治療を受けたHIV-1感染患者で発現するラミブジン耐性HIV-1には、ウイルス逆転写酵素の活性部位に近い184番目のアミノ酸のメチオニンからバリンへの変異(M184V)がみられる20)。このM184V変異の結果、ウイルスのラミブジンに対する感受性は著明に低下し20),21)、in
vitroでのウイルスの複製能力は低下する22)。
in
vitroで、ジドブジン耐性ウイルスはジドブジン及びラミブジンの投与によりラミブジンに対して耐性を獲得すると、ジドブジンに対して感受性は回復する。また、抗HIV薬の治療経験のない患者にジドブジン及びラミブジンを併用することにより、ジドブジン耐性ウイルスの出現が遅延する23)。さらに、抗HIV薬(ラミブジンを含む)の多剤併用療法はM184V変異ウイルスを有する患者と同様、抗HIV薬の治療経験のない患者においても有効性が確認されている24),25)。
(4)交差耐性21),23),26)~28)
ジドブジン及びサニルブジンは、ラミブジン耐性HIV-1に対し抗ウイルス活性を維持する21),23),26)。
アバカビルはM184V変異のみが認められているウイルスに対しては、抗ウイルス活性を維持する27)。
また、ジダノシン及びザルシタビンは、M184V変異ウイルスに対して感受性が低下するという報告があるが、これらの感受性の低下と臨床効果の関係は明らかにされていない28)。
<アバカビル硫酸塩>
(1)作用機序27),29),30)
アバカビルは細胞内で細胞性酵素によって活性代謝物のカルボビル三リン酸に変換される。カルボビル三リン酸は天然基質dGTPと競合し、ウイルスDNAに取り込まれることによって、HIV-1逆転写酵素(RT)の活性を阻害する。取り込まれたヌクレオシド誘導体には3'-OH基が存在しないため、DNA鎖の伸長に不可欠な5'-3'ホスホジエステル結合の形成が阻害され、ウイルスのDNA複製が停止する。
(2)抗ウイルス作用7),30),31)
アバカビルのHIV-1に対するIC50値はHIV-1 IIIBに対して3.7~5.8μM、臨床分離株に対して0.26±0.18μM(n=8)、HIV-1 BaLに対して0.07~1.0μMであった。また、HIV-2に対するIC50値はHIV-2(Zy)に対して4.1μM、HIV-2 LAV-2に対して7.5μMであった。in vitroでアンプレナビル、ネビラピン及びジドブジンとの併用によって相乗作用が認められ、ジダノシン、ラミブジン、サニルブジン及びザルシタビンとの併用によって相加作用が認められた。また、ヒト末梢血単核球から活性化リンパ球を除いた場合に、より強い抗HIV作用を示したことから、アバカビルは静止細胞でより強く抗ウイルス作用を示すものと考えられる。
(3)薬剤耐性7),27)
アバカビルに対して低感受性のHIV-1分離株がin vitro及びアバカビル投与患者から分離されており、いずれも逆転写酵素にM184V、K65R、L74V及びY115Fの変異が確認された。これらの変異を2種以上含むことにより、アバカビル感受性は1/10に低下した。臨床分離株ではM184V及びL74Vの変異が頻回に観察された。
(4)交差耐性27)
アバカビルによる逆転写酵素変異を2種以上組み込んだHIV-1株のうち数種は、in
vitroでラミブジン、ジダノシン及びザルシタビンに対して交差耐性を示し、一方、ジドブジン及びサニルブジンには感受性を示した。
アバカビルとHIVプロテアーゼ阻害薬とは標的酵素が異なることから、両者間に交差耐性が発生する可能性は低く、非ヌクレオシド系逆転写酵素阻害薬も逆転写酵素の結合部位が異なることから、交差耐性が発生する可能性は低いものと考えられる。
【有効成分に関する理化学的知見】
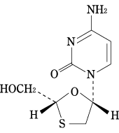
一般名
ラミブジン(Lamivudine)
化学名
(-)-1-[(2R,5S)-2-ヒドロキシメチル-1,3-オキサチオラン-5-イル]シトシン
分子式
C8H11N3O3S
分子量
229.26
構造式

性状
白色~微黄白色の結晶性の粉末である。ジメチルスルホキシドに溶けやすく、水にやや溶けやすく、メタノール又はエタノール(99.5)にやや溶けにくく、ジエチルエーテルにほとんど溶けない。
融点
約176℃
分配係数
-0.9(1-オクタノール/水系)
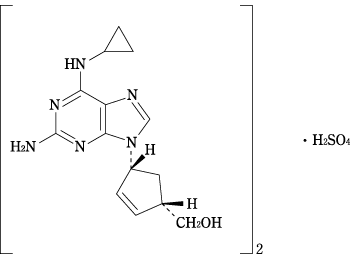
一般名
アバカビル硫酸塩(Abacavir Sulfate)
化学名
(-)-{(1S,4R)-4-[2-アミノ-6-(シクロプロピルアミノ)プリン-9-イル]シクロペンタ-2-エニル}メタノール1/2硫酸塩
分子式
(C14H18N6O)2・H2SO4
分子量
670.74
構造式
性状
白色~微黄白色の粉末である。トリフルオロ酢酸に溶けやすく、水にやや溶けやすく、メタノール及びエタノール(95)に溶けにくい。0.1mol/L塩酸試液及び希水酸化ナトリウム試液に溶ける。
融点
約219℃(分解)
分配係数(log P)
1.20(pH7.1~7.3, 1-オクタノール/水)
【承認条件】
本剤を使用する場合は重篤な過敏症に留意し、過敏症の兆候又は症状が発現した場合には本剤の使用を中止する等の適切な処置をとるよう、医師に要請すること。
【包装】
エプジコム配合錠:30錠 瓶
【主要文献及び文献請求先】
主要文献
- Guidelines for Using Antiretroviral Agents Among HIV-Infected Adults and Adolescents.(DHHS,http://www.aidsinfo.nih.gov/Guidelines/)
- 抗HIV治療ガイドライン(http://www.haart-support.jp/)
- HIV感染症「治療の手引き」(http://www.hivjp.org/)
- 矢野 邦夫ほか:化学療法の領域,24,87-98(2008)
- van Leeuwen,R.,et al.:J Infect Dis,171,1166-1171(1995)
- Chittick,G.E.,et al.:Pharmacotherapy,19,932-942(1999)
- ザイアジェン錠米国添付文書
- McDowell,J.A.,et al.:Antimicrob Agents Chemother,43,2855-2861(1999)
- エピビル錠米国添付文書
- McDowell,J.A.,et al.:Antimicrob Agents Chemother,44,1686-1690(2000)
- Wang,L.H.,et al.:Antimicrob Agents Chemother,43,1708-1715(1999)
- Heald,A.E.,et al.:Antimicrob Agents Chemother,40,1514-1519(1996)
- Thompson.M.,et al.:Abstracts of the 12th World AIDS Conference.,Abstract 42278(1998)
- Johnson,M.A.,et al.:Eur J Clin Pharmacol,54,363-366(1998)
- Raffi,F.,et al.:Abstracts of the 40th Interscience Conference on Antimicrobial Agents and Chemotherapy.,Abstract 1630(2000)
- Cammack,N.,et al.:Biochem Pharmacol,43,2059-2064(1992)
- Hart,G.J.,et al.:Antimicrob Agents Chemother,36,1688-1694(1992)
- Coates,J.A.V.,et al.:Antimicrob Agents Chemother,36,733-739(1992)
- Merrill,D.P.,et al.:J Infect Dis,173,355-364(1996)
- Schuurman,R.,et al.:J Infect Dis,171,1411-1419(1995)
- Tisdale,M.,et al.:Proc Natl Acad Sci U S A,90,5653-5656(1993)
- Back,N.K.T.,et al.:EMBO J,15,4040-4049(1996)
- Larder,B.A.,et al.:Science,269,696-699(1995)
- Maguire,M.,et al.:AIDS,14,1195-1201(2000)
- Kuritzkes,D.R.,et al.:AIDS,10,975-981(1996)
- Schinazi,R.F.,et al.:International Antiviral News,8,65-91(2000)
- Tisdale,M.,et al.:Antimicrob Agents Chemother,41,1094-1098(1997)
- Miller,V.,et al.:AIDS,12,705-712(1998)
- Faletto,M.B.,et al.:Antimicrob Agents Chemother,41,1099-1107(1997)
- Daluge,S.M.,et al.:Antimicrob Agents Chemother,41,1082-1093(1997)
- Saavedra,J.,et al.:Abstracts of the 37th Interscience Conference on Antimicrobial Agents and Chemotherapy.,253(1997)
文献請求先
グラクソ・スミスクライン株式会社
〒151-8566 東京都渋谷区千駄ヶ谷4-6-15
ヴィーブヘルスケア・カスタマー・サービス
TEL:0120-066-525(9:00~18:00/土日祝日及び当社休業日を除く)
FAX:0120-128-525(24時間受付)
【製造販売業者等の氏名又は名称及び住所】
製造販売元
ヴィーブヘルスケア株式会社
東京都渋谷区千駄ヶ谷4-6-15
http://glaxosmithkline.co.jp/viiv/index.html
販売元
グラクソ・スミスクライン株式会社
東京都渋谷区千駄ヶ谷4-6-15
http://www.glaxosmithkline.co.jp
【その他の説明(付属機器の取り扱い等)】
■過敏症を注意するカード
(表面)
(中面)
(裏面)
|
おくすりガイド|

Page Top