エピビル錠150/エピビル錠300の添付文書
ホーム > おくすりガイド > エピビル錠150/エピビル錠300

| 商品名: | エピビル錠150/エピビル錠300 |
|---|---|
| 一般名: | ラミブジン |
| 略称 : | 3TC |
添付文書の読み方
ここで提供している添付文書情報は、2013年4月17日現在の各医薬品の添付文書を基に作成したものです。書式等については、実際の添付文書と異なるところがあります。添付文書情報は随時更新されます。ご使用の際は、必ず最新の添付文書をご覧下さい。
また、記載されている内容には、専門的な情報が含まれています。文書内の、
この色の文字をクリックすると、別ウィンドウに読み方のアドバイスが表示されます。
この色の文字をクリックすると、別ウィンドウに重大な副作用の解説が表示されます。
この色の文字をクリックすると、別ウィンドウに副作用の症状とその類似語、定義の解説が表示されます。
記載されている情報をご覧になり、疑問などを持たれた場合は、医師・薬剤師にご相談ください。
※このページを開いた時に目次が自動的に表示されなかったときは、ここをクリックしてください。
ラミブジン
別名:3TC
2013年1月改訂 (第15版)
【警告】
- 膵炎を発症する可能性のある小児の患者(膵炎の既往歴のある小児、膵炎を発症させることが知られている薬剤との併用療法を受けている小児)では、本剤の適用を考える場合には、他に十分な効果の認められる治療法がない場合にのみ十分注意して行うこと。これらの患者で膵炎を疑わせる重度の腹痛、悪心・嘔吐等又は血清アミラーゼ、血清リパーゼ、トリグリセリド等の上昇があらわれた場合は、本剤の投与を直ちに中止すること。
- B型慢性肝炎を合併している患者では、本剤の投与中止により、B型慢性肝炎が再燃するおそれがあるので、本剤の投与を中断する場合には十分注意すること。特に非代償性の場合、重症化するおそれがあるので注意すること。
【組成・性状】
1.組成
| 販売名 | エピビル錠150 | エピビル錠300 |
|---|---|---|
| 成分・含量 | 1錠中にラミブジン150mgを含有する。 | 1錠中にラミブジン300mgを含有する。 |
| 添加物 | 結晶セルロース、デンプングリコール酸ナトリウム、ステアリン酸マグネシウム、酸化チタン、ヒプロメロース、マクロゴール400、ポリソルベート80 | 結晶セルロース、デンプングリコール酸ナトリウム、ステアリン酸マグネシウム、酸化チタン、黒酸化鉄、ヒプロメロース、マクロゴール400、ポリソルベート80 |
2.性状
エピビル錠150:白色のフィルムコート錠であり、識別コード及び形状は下記のとおりである。
エピビル錠300:灰色のフィルムコート錠であり、識別コード及び形状は下記のとおりである。
| 販売名 | 識別コード | 表 (直径) |
裏 | 側面 (厚さ) |
重量 |
|---|---|---|---|---|---|
| エピビル錠150 | GX CJ7 |
![]() 長径:13.9mm 短径:6.9mm |
|
![]() 4.5mm |
310mg |
| エピビル錠300 | GX EJ7 |
長径:17.3mm 短径:8.5mm |
|
![]() 5.6mm |
615mg |
【効能又は効果】
効能又は効果/用法及び用量
下記疾患における他の抗HIV薬との併用療法
HIV感染症
効能又は効果に関連する使用上の注意
- 本剤は単独投与しないこと。また、ヒト免疫不全ウイルス(HIV)は感染初期から多種多様な変異株を生じ、薬剤耐性を発現しやすいことが知られているので、他の抗HIV薬と併用すること(「臨床成績」の項参照)。
- 無症候性HIV感染症に関する治療開始については、CD4リンパ球数及び血漿中HIV RNA量が指標とされている。よって、本剤の使用にあたっては、患者のCD4リンパ球数及び血漿中HIV RNA量を確認するとともに、最新のガイドライン1)~3)を確認すること。
【用法及び用量】
通常、成人には他の抗HIV薬と併用して、ラミブジンとして1日量300mgを1日1回又は2回(150mg×2)に分けて経口投与する。なお、年齢、体重、症状により適宜増減する。
用法及び用量に関連する使用上の注意
本剤と他の抗HIV薬との併用療法において、因果関係が特定されない重篤な副作用が発現し、治療の継続が困難であると判断された場合には、本剤若しくは併用している他の抗HIV薬の一部を減量又は休薬するのではなく、原則として本剤及び併用している他の抗HIV薬の投与をすべて一旦中止すること。
【使用上の注意】
1.慎重投与
(次の患者には慎重に投与すること)
- 膵炎を発症する可能性のある小児の患者(膵炎の既往歴のある小児、膵炎を発症させることが知られている薬剤との併用療法を受けている小児)[膵炎を再発又は発症する可能性がある。(「重要な基本的注意」の項参照)]
- 腎機能障害(クレアチニンクリアランスが50mL/分未満)のある患者[高い血中濃度が持続するので、クレアチニンクリアランスを測定し、減量するか又は投与間隔を延長すること。(「薬物動態」の項参照)]
- 高齢者[「高齢者への投与」の項参照]
- 妊婦・授乳婦[「妊婦、産婦、授乳婦等への投与」の項参照]
- 小児等[「小児等への投与」の項参照]
2.重要な基本的注意
- 本剤の使用に際しては、患者又はそれに代わる適切な者に、次の事項についてよく説明し同意を得た後、使用すること。
- 本剤はHIV感染症の根治療法薬ではないことから、日和見感染症を含むHIV感染症の進展に伴う疾病を発症し続ける可能性があるので、本剤投与開始後の身体状況の変化については、すべて担当医に報告すること。
- 本剤を含む現在の抗HIV療法が、性的接触又は血液汚染を介した他者へのHIV感染の危険性を低下させるかどうかは証明されていない。
- 本剤を含むヌクレオシド系逆転写酵素阻害薬の単独投与又はこれらの併用療法により、重篤な乳酸アシドーシス(全身けん怠、食欲不振、急な体重減少、胃腸障害、呼吸困難、頻呼吸等)、肝毒性(脂肪沈着による重度の肝腫大、脂肪肝を含む)が、女性に多く報告されているので、上記の乳酸アシドーシス又は肝毒性が疑われる臨床症状や検査値異常が認められた場合には、本剤の投与を一時中止すること。特に、肝疾患の危険因子を有する患者においては注意すること。
- 抗HIV薬の使用により、体脂肪の再分布/蓄積があらわれることがあるので、異常が認められた場合には適切な処置を行うこと。
- 本剤を含む抗HIV薬の多剤併用療法を行った患者で、免疫再構築症候群が報告されている。投与開始後、免疫機能が回復し、症候性のみならず無症候性日和見感染(マイコバクテリウムアビウムコンプレックス、サイトメガロウイルス、ニューモシスチス等によるもの)等に対する炎症反応が発現することがある。また、免疫機能の回復に伴い自己免疫疾患(甲状腺機能亢進症、多発性筋炎、ギラン・バレー症候群、ブドウ膜炎等)が発現するとの報告があるので、これらの症状を評価し、必要時には適切な治療を考慮すること。
- 膵炎を発症する可能性のある小児の患者(膵炎の既往歴のある小児、膵炎を発症させることが知られている薬剤との併用療法を受けている小児)では、本剤の適用を考える場合には、他に十分な効果の認められる治療法がない場合にのみ十分注意して行うこと。また成人の患者でも膵炎が発症する可能性があるので、血清アミラーゼ、血清リパーゼ、トリグリセリド等の生化学的検査を定期的に行い、これらの検査値の上昇がみられた場合には、直ちに本剤の投与を中止すること。また、重度の腹痛、悪心・嘔吐等の症状がみられた場合にも直ちに本剤の投与を中止し、生化学的検査(血清アミラーゼ、血清リパーゼ、トリグリセリド等)及び画像診断等による観察を十分行うこと。
3.相互作用
併用注意
(併用に注意すること)
| 薬剤名等 | 臨床症状・措置方法 | 機序・危険因子 |
|---|---|---|
| スルファメトキサゾール・トリメトプリム合剤 | 本剤のAUCが43%増加し、全身クリアランスが30%、腎クリアランスが35%減少したとの報告がある。 | 腎臓における排泄が競合すると考えられている。 |
| ザルシタビン | 細胞内におけるラミブジン及びザルシタビン三リン酸化体が減少し、両剤の効果が減弱するとの報告があるので、本剤とザルシタビンとの併用療法は避けることが望ましい。 | 本剤の細胞内におけるリン酸化が競合的に阻害されることが考えられている。 |
4.副作用
<国内における臨床試験及び使用成績調査>
承認時までの調査症例42例中、副作用が報告されたのは30例(71.4%)で、主な副作用は赤血球減少等の貧血、空腹時血糖値上昇、嘔気、食欲不振であった。
使用成績調査3211例中、1372例(42.7%)に臨床検査値異常を含む副作用が報告された。その主なものは肝機能検査値異常446例(13.9%)、トリグリセリド上昇・コレステロール上昇等の脂質増加442例(13.8%)、貧血182例(5.7%)、下痢179例(5.6%)であった(再審査終了時)。
<海外における臨床試験>
HIV感染症を対象とした海外における4種類の二重盲検比較試験において、ラミブジン/ジドブジン併用群でそれぞれ、186例中127例(68.3%)、65例中40例(61.5%)、168例中105例(62.5%)、150例中64例(42.7%)に副作用が認められ、主な副作用は嘔気、頭痛、ニューロパシー、けん怠感・疲労であった(「臨床成績」の項参照)。
重大な副作用
次のような症状があらわれることがあるので、定期的に検査を行うなど観察を十分に行い、異常が認められた場合には、投与を中止するなど適切な処置を行うこと。
- 重篤な血液障害:赤芽球癆(0.03%)、汎血球減少(0.6%)、貧血(6.1%)、白血球減少(2.2%)、好中球減少(0.8%)、血小板減少(1.2%)
- 膵炎(0.3%)
- 乳酸アシドーシス(0.5%)及び脂肪沈着による重度の肝腫大(脂肪肝)(0.3%)
- 横紋筋融解症(0.1%)
- 精神神経系:ニューロパシー(0.8%)、錯乱(頻度不明注))、痙攣(0.1%)
- 心不全(0.1%)
その他の副作用
以下のような副作用があらわれた場合には、症状に応じて適切な処置を行うこと。
| 1%~14%未満 | 1%未満 | 頻度不明注) | |
|---|---|---|---|
| 血液 | リンパ節症、平均赤血球容積(MCV)増加、リンパ球減少 | ||
| 消化器 | 下痢、嘔気、腹痛 | 胃炎、消化不良、鼓腸放屁、嘔吐、食欲不振 | 痔核、腹部痙直 |
| 全身症状 | 体脂肪の再分布/蓄積(胸部、体幹部の脂肪増加、末梢部、顔面の脂肪減少、野牛肩、血清脂質増加、血糖増加) | 倦怠感、発熱、頭痛、疼痛、体重減少、疲労、無力症 | 体温調節障害 |
| 肝臓 | 肝機能検査値異常(AST(GOT)、ALT(GPT)等の上昇) | ||
| 腎臓 | 血清クレアチニン上昇 | ||
| 筋骨格 | 関節痛、筋肉痛、筋痙直 | 骨痛 | |
| 精神神経系 | 末梢神経障害 | めまい、睡眠障害、うつ病、不安感 | 感情障害、錯感覚 |
| 代謝・内分泌系 | 血中尿酸上昇、高乳酸塩血症 | アミラーゼ上昇 | 脱水(症) |
| 循環器 | 心筋症 | ||
| 呼吸器 | 咳、肺炎、呼吸困難、咽頭痛、気管支炎 | 鼻炎、副鼻腔炎、耳管炎、呼吸障害、上気道炎 | |
| 過敏症 | アレルギー反応 | ||
| 皮膚 | 発疹(皮膚炎、湿疹、皮疹を含む) | 脱毛、瘙痒、発汗、痤瘡・毛嚢炎 | |
| その他 | トリグリセリド上昇・血清コレステロール上昇 | CK(CPK)上昇、敗血症、血糖値上昇 | 重炭酸塩上昇、重炭酸塩低下、血糖値低下、総蛋白上昇、総蛋白低下 |
注)自発報告又は海外のみで認められている副作用については頻度不明とした。
5.高齢者への投与
本剤は、主として未変化体として腎から排泄されるが、高齢者では腎機能が低下していることが多いため、高い血中濃度が持続するおそれがあるので、患者の状態を観察しながら慎重に投与すること(「薬物動態」の項参照)。
6.妊婦、産婦、授乳婦等への投与
- 妊婦又は妊娠している可能性のある婦人には、治療上の有益性が危険性を上回ると判断される場合にのみ投与すること。[本剤はヒト胎盤を通過する。出生児の血清中ラミブジン濃度は、分娩時の母親の血清中及び臍帯血中の濃度と同じであることが報告されている。なお、動物実験(ウサギ)で胎児毒性(早期の胚死亡数の増加)が報告されている。ヌクレオシド系逆転写酵素阻害薬(NRTI)を子宮内曝露又は周産期曝露された新生児及び乳児において、ミトコンドリア障害によると考えられる軽微で一過性の血清乳酸値の上昇が報告されている。また、非常にまれに発育遅延、てんかん様発作、他の神経疾患も報告されている。しかしながら、これら事象とNRTIの子宮内曝露、周産期曝露との関連性は確立していない。]
- 授乳中の婦人には本剤投与中は授乳を避けさせること。[経口投与されたラミブジンはヒト乳汁中に排泄され、血清中の濃度と同じ(1~8μg/mL)であることが報告されている。]
7.小児等への投与
小児等における本剤と他の抗HIV薬との併用投与の安全性及び有効性は確立されていない(現在までのところ、十分な臨床成績が得られていない)ので、治療上の有益性が危険性を上回ると判断される場合にのみ投与すること。[「重要な基本的注意」の項参照]
8.過量投与
徴候・症状:急性過量投与による特有の徴候、症状は認められていない。
処置:過量投与時には、患者を十分観察し、必要な対症療法を実施すること。具体的なデータは示されていないが、ラミブジンは透析可能であることから、必要に応じ血液透析を行うことを考慮すること。
9.その他の注意
遺伝毒性試験において弱い染色体異常誘発作用を示したとの報告がある。また、長期のがん原性試験において発がん性を認めなかったとの報告がある。[ヒト末梢血リンパ球を用いた染色体異常試験では300μg/mL以上、マウスリンパ腫細胞を用いた遺伝子突然変異試験では2000μg/mL以上で陽性を示した。マウス及びラットを用いた長期のがん原性試験では、臨床用量におけるヒト全身曝露量(AUC)の10倍(マウス)及び58倍(ラット)までの曝露量において、発がん性は認められなかった。]
【薬物動態】
<日本人における成績>4)
HIV感染者6例に対し、ラミブジン150mg1日2回とジドブジン100mg1日4回を25日間以上連続経口投与したときのラミブジン、ジドブジンの血漿中薬物濃度の推移を図-1に、薬物動態パラメータを表-1に示した。ラミブジンは投与約1.3時間後に最高血中濃度平均1.55μg/mLに達し、半減期は平均2.3時間であった。
| Cmax(μg/mL) | Tmax(h) | t1/2(h) | AUC0-6(μg・h/mL) | AUC0-12(μg・h/mL) | |
|---|---|---|---|---|---|
| ラミブジン | 1.547±0.302 | 1.3±0.6 | 2.3±0.6 | 5.089±1.692 | 6.165±2.312 |
| ジドブジン | 0.549±0.261 | 0.8±0.3 | 1.1±0.1 | 0.858±0.266 | ― |
<外国人における成績>
(1)吸収5)~8)
成人HIV感染者に2mg/kgを1日2回15日間経口投与したとき、初回投与時では投与1.5時間後に最高血中濃度の1.5μg/mLに達し、半減期は2.6時間であり、15日間投与後では血中濃度は定常状態に達し、最高血中濃度は1.9μg/mLであった。また、成人HIV感染者に0.25~8mg/kgを単回経口投与したときの生物学的利用率は約82%であった。無症候性HIV感染者12例に対して、空腹時と食後(1,099kcal:脂肪75g、タンパク質34g、炭水化物72g)の2つの条件で、ラミブジン50mgを経口投与した。食後投与のラミブジンの最高血中濃度到達時間は3.2時間で、空腹時投与の最高血中濃度到達時間の0.9時間と比較して遅くなり、食後投与での最高血中濃度は空腹時投与より約47%低かった。しかし、食後投与と空腹時投与のAUC間に有意な差はみられなかった。
また、健康成人(60例)に300mgを1日1回及び150mgを1日2回、それぞれ7日間反復経口投与したときの血漿中濃度推移を図-2に示した。300mg1日1回投与したときの定常状態におけるAUC0-24は150mg1日2回投与したときと生物学的に同等であった。
(2)分布9)
成人HIV感染者に4~10mg/kgを1日2回2週間以上反復経口投与したとき、投与2時間後の脳脊髄液中濃度は血中濃度の約6%であった。
(3)代謝・排泄10)
ヒトでの主代謝体はトランス-スルホキシド体(1-[(2R,5S)-trans-2-hydroxymethyl-1,3-oxathiolan-3-oxide-5-yl]cytosine)であった。
成人HIV感染者に2mg/kgを経口投与したとき、投与後12時間尿中にトランス-スルホキシド体が投与量の5.2%存在した。また、血中濃度が定常状態での未変化体排泄率は約73%であり、腎排泄がラミブジンの体内からの除去の主要な経路であることが示された。
(4)腎機能障害を有する成人における薬物動態11)
腎機能の低下したHIV患者にラミブジンを300mg単回経口投与したとき、クレアチニンクリアランスの低下につれてAUC及び最高血中濃度が増加し、半減期が延長し、見かけの全身クリアランスが減少した。患者の腎機能に対応する本剤の減量の標準的目安を表-2に示す。
| クレアチニンクリアランス(mL/分) | ラミブジンの推奨用量 |
|---|---|
| ≧50 | 300mgを1日1回又は2回(150mg×2) |
| 30~49 | 150mgを1日1回 |
| 15~29 | 初回150mg、その後100mgを1日1回 |
| 5~14 | 初回150mg、その後50mgを1日1回 |
| <5 | 初回50mg、その後25mgを1日1回 |
ただし、透析患者に対するラミブジンの用法用量は算出されていない。
(5)小児における薬物動態10)
小児HIV感染者に4mg/kgを単回経口投与したとき、投与2.0時間後に最高血中濃度の1.1μg/mLに達し、半減期は2.0時間であり生物学的利用率は約66%であり、成人HIV感染者の生物学的利用率(約82%)より低い値を示した。小児で生物学的利用率が減少する機序はわかっていない。
図-3に示す様に、小児患者では年齢が上がるにつれて全身クリアランスは減少した。
ラミブジンのAUCは、8mg/kg/日を投与された小児患者と4mg/kg/日を投与された成人との間で同じ程度であった。また、脳脊髄液中のラミブジンの濃度は血中濃度の約13%であった。
(6)ジドブジン併用時の薬物動態12)
ラミブジンとジドブジンの併用投与を行ったとき、ジドブジンの最高血中濃度が28%上昇したが、ラミブジン及びジドブジンのAUCに有意な変化は認められなかった。
【臨床成績】
<国内において実施された臨床試験の成績>4)
試験開始前のCD4リンパ球数が100~400/mm3の12歳以上のHIV感染者42例を対象とした多施設共同オープン試験(ラミブジン150mg1日2回投与とジドブジン100mg1日4回投与)で、有効性評価対象症例37例での臨床評価の概要は次のとおりである。
CD4リンパ球数は、試験開始時の平均220.8/mm3から4週後には約25/mm3増加し、8週後から24週後までの増加量は4.6~34.0/mm3で推移した。CD4リンパ球数の推移を図-4に示した。CD4パーセントは、開始時の18.81%から4週後には20.03%へ有意に増加し、8週後から24週後まではほとんど変動なく約20%で推移した。血漿中HIV RNA量は、試験開始時の平均3.8log10copies/mLから4週後には1.6log10copies/mL有意に減少し、8週後から24週後までは0.7~1.2log10copies/mL減少した。血漿中HIV RNA量の推移を図-5に示した。

<海外において実施された臨床試験の成績>注)
(1)成人を対象とした臨床試験
1)ジドブジンによる治療経験が4週間以内の患者群13),14)
1.試験A3001
CD4リンパ球数が200~500/mm3の12歳以上のHIV感染者366例を対象とした二重盲検比較試験(ラミブジン150mg1日2回投与とジドブジン200mg1日3回投与の併用群92例、ラミブジン300mg1日2回投与とジドブジン200mg1日3回投与の併用群94例、ラミブジン300mg1日2回投与群87例、ジドブジン200mg1日3回投与群93例)において薬剤を52週間投与した。ラミブジンとジドブジンの併用投与群ではCD4リンパ球数が、試験開始から24週以降もジドブジン単独投与群に比べ有意に増加していたが、ラミブジンの投与量による効果の差はなかった。24週間の治療中のCD4リンパ球数の推移を図-6に示した。また、血漿中HIV RNA量の減少についても同様であった。ラミブジンとジドブジンの併用療法はジドブジン単独療法よりもCD4リンパ球数及び血漿中HIV RNA量を有意に改善した。試験開始時からラミブジン投与24週間後の血漿中HIV RNA量の推移を図-7に示した。ラミブジンとジドブジンとの併用療法中の血漿ウイルスRNA測定値における変化に関する臨床上の意義は確立されていない。
2.試験B3001
CD4リンパ球数が100~400/mm3の18歳以上のHIV感染者129例を対象とした二重盲検比較試験(ラミブジン300mg1日2回投与とジドブジン200mg1日3回投与の併用群65例、ジドブジン200mg1日3回投与群64例)において薬剤を48週間投与した。ジドブジン単独投与群では、試験開始から24週後にはCD4リンパ球数がほぼ投与前値に戻ったが、ラミブジンとジドブジンの併用投与群では、試験開始から48週後まで増加していた。24週間の治療中のCD4リンパ球数の推移を図-8に示した。また、血漿中HIV RNA量の減少についても同様であった。ラミブジンとジドブジンの併用療法はジドブジン単独療法よりもCD4リンパ球数及び血漿中HIV RNA量を有意に改善した。


2)24週間以上のジドブジン療法を受けたことのある患者群15)
1.試験A3002
CD4リンパ球数が100~300/mm3の18歳以上のHIV感染者254例を対象とした二重盲検比較試験(ラミブジン150mg1日2回投与とジドブジン200mg1日3回投与の併用群84例、ラミブジン300mg1日2回投与とジドブジン200mg1日3回投与の併用群84例、ジドブジン200mg1日3回投与とザルシタビン0.75mg1日3回投与の併用群86例)において薬剤を52週間投与した。ラミブジンとジドブジンの併用投与群では、CD4リンパ球数が試験開始から24週以降もジドブジンとザルシタビンの併用投与群に比べ有意に増加していたが、ラミブジンの投与量による効果の差はなかった。24週間の治療中のCD4リンパ球数の推移を図-9に示した。ラミブジンとジドブジンの併用投与群では、血漿中HIV RNA量が試験開始から24週目までジドブジンとザルシタビンの併用投与群よりも減少していたが、その後は3群間に差は認められなかった。ラミブジンとジドブジンの併用療法はジドブジンとザルシタビンの併用療法よりもCD4リンパ球数及び血漿中HIV RNA量を有意に改善した。試験開始時からラミブジン投与24週間後の血漿中HIV RNA量の推移を図-10に示した。ラミブジンとジドブジンとの併用療法中の血漿ウイルスRNA測定値における変化に関する臨床上の意義は確立されていない。
2.試験B3002
CD4リンパ球数が100~400/mm3の18歳以上のHIV感染者223例を対象とした二重盲検比較試験(ラミブジン150mg1日2回投与とジドブジン200mg1日3回投与の併用群75例、ラミブジン300mg1日2回投与とジドブジン200mg1日3回投与の併用群75例、ジドブジン200mg1日3回投与群73例)において薬剤を24週間投与した。ラミブジンとジドブジンの併用投与群では、CD4リンパ球数がジドブジン単独投与群に比べ有意に増加していたが、ラミブジンの投与量による効果の差はなかった。24週間の治療中のCD4リンパ球数の推移を図-11に示した。血漿中HIV RNA量の減少についても同様であった。ラミブジンとジドブジンの併用療法はジドブジン単独療法よりもCD4リンパ球数及び血漿中HIV RNA量を有意に改善した。


3)副作用及び臨床検査値異常
上記の4種類の二重盲検比較試験に組み込まれた成人患者972例における副作用及び臨床検査値異常の発現頻度を試験薬剤投与群別に表-3に示した。
| 試験薬剤投与群 | |||||
|---|---|---|---|---|---|
| ジドブジン (600mg/日) (n=230) |
ラミブジン (600mg/日) (n=87) |
ジドブジン (600mg/日) + ラミブジン (300mg/日) (n=251) |
ジドブジン (600mg/日) + ラミブジン (600mg/日) (n=318) |
ジドブジン (600mg/日) + ザルシタビン (2.25mg/日) (n=86) |
|
| 消化器:嘔気 | 29% | 26% | 33% | 32% | 22% |
| 消化器:下痢 | 22% | 32% | 18% | 22% | 23% |
| 消化器:嘔吐 | 12% | 9% | 13% | 13% | 10% |
| 消化器:消化不良 | 5% | 11% | 5% | 7% | 6% |
| 消化器:食欲不振 | 7% | 5% | 10% | 10% | 7% |
| 消化器:腹痛 | 11% | - | 9% | - | - |
| 消化器:痔核 | 2% | 7% | 2% | 2% | 8% |
| 消化器:腹部痙直 | 3% | - | 6% | - | - |
| 消化器:鼓腸放屁 | 3% | 5% | 5% | 3% | 2% |
| 精神神経系:ニューロパシー | 10% | 20% | 12% | 8% | 22% |
| 精神神経系:睡眠障害 | 7% | 17% | 11% | 12% | 8% |
| 精神神経系:うつ病 | 4% | 15% | 9% | 11% | 12% |
| 精神神経系:めまい | 4% | 6% | 10% | 6% | 9% |
| 精神神経系:不安感 | 6% | 9% | 4% | 6% | 8% |
| 精神神経系:感情障害 | <1% | 5% | 2% | 2% | 0% |
| 血液:平均赤血球容積(MCV)増加 | 53% | 52% | 30% | 40% | 8% |
| 血液:赤血球減少 | 48% | 20% | 32% | 43% | 13% |
| 血液:好中球減少 | 30% | 37% | 32% | 33% | 37% |
| 血液:ヘマトクリット値減少 | 28% | 11% | 22% | 29% | 17% |
| 血液:ヘモグロビン減少 | 25% | 14% | 19% | 27% | 17% |
| 血液:白血球減少 | 32% | 26% | 22% | 24% | 20% |
| 血液:血小板減少 | 7% | 20% | 7% | 9% | 17% |
| 血液:リンパ節症 | 5% | 17% | 9% | 7% | 12% |
| 血液:リンパ球減少 | 5% | 7% | 8% | 6% | 30% |
| 血液:貧血 | 4% | 0% | 4% | 5% | 3% |
| 肝臓:LDH上昇 | 24% | 27% | 25% | 24% | 48% |
| 肝臓:AST(GOT)上昇 | 24% | 24% | 20% | 19% | 33% |
| 肝臓:ALT(GPT)上昇 | 18% | 18% | 20% | 19% | 25% |
| 肝臓:ビリルビン値上昇 | 9% | 5% | 8% | 8% | 5% |
| 肝臓:AlP上昇 | 6% | 7% | 7% | 5% | 15% |
| 腎臓:血中尿酸上昇 | 9% | 5% | 7% | 8% | 8% |
| 腎臓:血清クレアチニン上昇 | 4% | 7% | 3% | 2% | 1% |
| 全身症状:頭痛 | 27% | 40% | 35% | 29% | 34% |
| 全身症状:けん怠感・疲労 | 23% | 33% | 27% | 23% | 35% |
| 全身症状:体温調節障害 | 12% | 14% | 10% | 13% | 14% |
| 全身症状:疼痛 | 2% | 7% | 3% | 4% | 7% |
| 呼吸器:鼻炎 | 11% | 24% | 20% | 13% | 19% |
| 呼吸器:咳 | 13% | 16% | 18% | 17% | 26% |
| 呼吸器:咽頭痛 | 10% | 6% | 9% | 12% | 14% |
| 呼吸器:気管支炎 | 5% | 5% | 10% | 5% | 6% |
| 呼吸器:副鼻腔炎 | 7% | 9% | 7% | 7% | 5% |
| 呼吸器:耳管炎 | <1% | 7% | 2% | 2% | 3% |
| 呼吸器:呼吸障害 | 3% | 5% | 6% | 4% | 3% |
| 呼吸器:上気道炎 | 2% | 5% | 5% | 4% | 3% |
| 筋骨格:骨痛・筋肉痛 | 10% | 28% | 12% | 14% | 22% |
| 筋骨格:筋肉痛 | 6% | 8% | 8% | 3% | 12% |
| 筋骨格:筋痙直 | 3% | 5% | 2% | 3% | 8% |
| 筋骨格:関節痛 | 5% | 6% | 5% | 5% | 7% |
| 過敏症:アレルギー反応 | <1% | 5% | 1% | 2% | 8% |
| 皮膚:皮疹 | 6% | 10% | 9% | 6% | 15% |
| 皮膚:発汗 | 7% | 9% | 8% | 6% | 7% |
| 皮膚:湿疹 | <1% | 9% | 2% | 2% | 2% |
| 皮膚:ざ瘡・毛のう炎 | 4% | 7% | 7% | 3% | 12% |
| 皮膚:そう痒 | 5% | 5% | 3% | 3% | 13% |
| 皮膚:皮膚炎 | 2% | 5% | 3% | 2% | 0% |
| その他:CK(CPK)上昇 | 25% | 37% | 30% | 28% | 42% |
| その他:重炭酸塩低下 | 29% | 29% | 28% | 33% | 39% |
| その他:血糖値上昇 | 21% | 27% | 30% | 23% | 26% |
| その他:トリグリセリド上昇 | 23% | 27% | 24% | 23% | 25% |
| その他:血糖値低下 | 12% | 18% | 17% | 21% | 23% |
| その他:総蛋白低下 | 21% | 18% | 18% | 15% | 12% |
| その他:重炭酸塩上昇 | 6% | 17% | 12% | 10% | 8% |
| その他:血清コレステロール上昇 | 4% | 17% | 12% | 8% | 13% |
| その他:総蛋白上昇 | 14% | 16% | 12% | 13% | 30% |
-データ無し
これらの二重盲検比較試験において、各試験薬剤投与群間には、副作用及び臨床検査値異常の発現頻度に差はなかった。
4)投与回数の比較試験
1.試験EPV20001
血漿中HIV RNA量が400copies/mL以上の抗HIV薬による治療経験がない18歳以上のHIV感染者554例を対象とした二重盲検比較試験(ジドブジン300mg1日2回とエファビレンツ600mg1日1回の併用による、ラミブジン300mg1日1回投与群278例又はラミブジン150mg1日2回投与群276例)において、48週間の治療中に血漿中HIV RNA量が検出限界(400copies/mL)未満であった患者の比率の推移を図-12に示した。投与48週後にHIV RNA量が400copies/mL未満であった患者の比率は、ラミブジン300mg1日1回投与群が67%、ラミブジン150mg1日2回投与群が65%であった。さらに、HIV RNA量が50copies/mL未満であった患者の比率では、それぞれ61%、63%であった。また、投与48週後のCD4リンパ球数の増加量(中央値)は、それぞれ144/mm3、146/mm3であった。
なお、本試験における試験成績の要約を表-4に示した。
| 結果 | ラミブジン300mg1日1回 + ジドブジン+エファビレンツ (n=278) |
ラミブジン150mg1日2回 + ジドブジン+エファビレンツ (n=276) |
|---|---|---|
| レスポンダー注1) | 67% | 65% |
| ウイルス学的な治療失敗注2) | 8% | 8% |
| 症状の進行による中止 | <1% | 0% |
| 有害事象による中止 | 6% | 12% |
| その他の理由による中止注3) | 18% | 14% |
(n=Intent-to-treat analysis)
注1)血漿中HIV RNA量が400copies/mL未満となり投与48週後まで維持された患者の比率
注2)血漿中HIV
RNA量が減少したが投与48週後までにリバウンドを起こした患者、ウイルス学的に治療が失敗した患者、担当医師によりウイルス学的な効果が不十分と判断された患者、48週間を通じてHIV
RNA量が減少しなかった患者
注3)同意の撤回、試験途中でフォローアップ不可、プロトコール違反、試験スケジュールの規約違反、割り付け後に投与が開始されなかった、等
2.試験EPV40001
治療経験がないアジア(タイ)人のHIV感染者159例を対象とした非盲検、無作為割付試験(ジドブジン300mg1日2回投与とアバカビル300mg1日2回投与の併用による、ラミブジン300mg1日1回投与群54例、又はラミブジン150mg1日2回投与群52例)において、投与48週後の血漿中HIV
RNA量が400copies/mL未満であった患者の比率は、ラミブジン300mg1日1回投与群が61%、ラミブジン150mg1日2回投与群が75%であった。さらに、血漿中HIV
RNA量が50copies/mL未満であった患者の比率では、それぞれ54%、67%であった。また、投与48週後のCD4リンパ球数の増加量(中央値)は、ラミブジン300mg1日1回投与群が166/mm3、ラミブジン150mg1日2回投与群が216/mm3であった。
(本試験では他にジドブジン300mg1日2回投与とアバカビル600mg1日1回投与の併用によるラミブジン150mg1日2回投与群として53例が組み入れられた。)
(2)小児を対象とした臨床試験10)
ラミブジン単独投与中の小児患者97例のうち14例(14%)に膵炎、13例(13%)に知覚異常及び神経障害が報告され、3例は投与を中止した。
小児患者(年齢3ヵ月~18歳)を対象としたラミブジン/ジダノシン併用投与群、ラミブジン/ジドブジン併用投与群及びラミブジン/ジドブジン/ジダノシン併用投与群の3群でのオープン試験による比較試験において、47例のうち7例(15%)に膵炎が発症した。なお各薬剤の投与量は、ラミブジンは4mg/kgを12時間毎に1日2回、ジドブジンは180又は90mg/m2を6時間毎に1日4回、ジダノシンは135mg/m2を12時間毎に1日2回である。ただしラミブジンの全身クリアランスと年齢の関係から、米国における3ヵ月から12歳までの小児に対する用法・用量はラミブジン1回4mg/kg1日2回(最高150mg1日2回)投与とされている。
小児における非比較対照第I/II相臨床試験の臨床検査値異常の抜粋を表-5に示した。
| 検査(異常値) | 試験開始時に正常であった患者%(n) | 試験開始時に異常であった患者%(n) |
|---|---|---|
| 好中球減少症(好中球数<750/mm3) | 22%(55) | 45%(33) |
| 貧血(ヘモグロビン<8.0g/dL) | 2%(50) | 24%(46) |
| 血小板減少症(血小板数<40,000/mm3) | 0%(68) | 25%(12) |
| AST(GOT)(>正常値の上限の5倍) | 4%(51) | 29%(42) |
| ALT(GPT)(>正常値の上限の5倍) | 0%(29) | 19%(57) |
| アミラーゼ(>正常値の上限の2倍) | 3%(69) | 23%(13) |
n=評価した患者数
注)外国人における成績である。
【薬効薬理】
1.作用機序
ラミブジンは細胞内でリン酸化され、HIVを感染させた細胞内での半減期が約12時間の5'-三リン酸化体に変換される16)。ラミブジン5'-三リン酸化体はHIVの逆転写酵素によりウイルスDNA鎖に取り込まれ、DNA鎖の伸長を停止することによりHIVの複製を阻害する17)。また、ラミブジン5'-三リン酸化体はHIVの逆転写酵素を競合的に阻害する17)。一方、in vitroで、ヒト末梢血リンパ球、リンパ球系・単球-マクロファージ系の株化細胞18)及び種々のヒト骨髄前駆細胞に対するラミブジンの細胞毒性は弱かった。
2.抗ウイルス作用
In vitroでのラミブジンのHIV-1(RF、GB8、U455及びIIIB)に対するIC50値は670nM以下、HIV-2 RODに対するIC50値は40nMであり18)、ジドブジンと併用することにより相乗的な抗ウイルス作用が認められた19)。また、ラミブジンは単独で、ジドブジン耐性臨床分離株の平均p24抗原量を薬物無処置群に比べ66~80%低下させた。
3.薬剤耐性
ラミブジンを含む抗HIV薬で治療を受けたHIV-1感染患者で発現するラミブジン耐性HIV-1には、ウイルス逆転写酵素の活性部位に近い184番目のアミノ酸のメチオニンからバリンへの変異(M184V)がみられる20)。このM184V変異の結果、ウイルスのラミブジンに対する感受性は著明に低下し20),21)、in vitroでのウイルスの複製能力は低下する22)。in vitroで、ジドブジン耐性ウイルスはジドブジン及びラミブジンの投与によりラミブジンに対して耐性を獲得すると、ジドブジンに対して感受性は回復する。また、抗HIV薬の治療経験のない患者にジドブジン及びラミブジンを併用することにより、ジドブジン耐性ウイルスの出現が遅延する23)。さらに、抗HIV薬(ラミブジンを含む)の多剤併用療法はM184V変異ウイルスを有する患者と同様、抗HIV薬の治療経験のない患者においても有効性が確認されている24),25)。
4.交差耐性
ジドブジン及びサニルブジンは、ラミブジン耐性HIV-1に対し抗ウイルス活性を維持する21),23),26)。アバカビルはM184V変異のみが認められているウイルスに対しては、抗ウイルス活性を維持する27)。また、ジダノシン及びザルシタビンは、M184V変異ウイルスに対して感受性が低下するという報告があるが、これらの感受性の低下と臨床効果の関係は明らかにされていない28)。
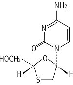
【有効成分に関する理化学的知見】
一般名
ラミブジン(Lamivudine)
化学名
(-)-1-[(2R,5S)-2-ヒドロキシメチル-1,3-オキサチオラン-5-イル]シトシン
分子式
C8H11N3O3S
分子量
229.26
構造式
性状
白色~微黄白色の結晶性の粉末である。ジメチルスルホキシドに溶けやすく、水にやや溶けやすく、メタノール又はエタノール(99.5)にやや溶けにくく、ジエチルエーテルにほとんど溶けない。
融点
約176℃
分配係数
-0.9(1-オクタノール/水系)
【包装】
エピビル錠150:60錠 瓶
エピビル錠300:30錠 瓶
【主要文献及び文献請求先】
主要文献
- Guidelines for Using Antiretroviral Agents Among HIV-Infected Adults and Adolescents.(DHHS,http://www.aidsinfo.nih.gov/Guidelines/)
- 抗HIV治療ガイドライン(http://www.haart-support.jp/)
- HIV感染症「治療の手引き」(http://www.hivjp.org/)
- 木村 哲ほか:化学療法の領域,14,1419-1432(1998)
- Pluda,J.M.,et al.:J Infect Dis,171,1438-1447(1995)
- van Leeuwen,R.,et al.:AIDS,6,1471-1475(1992)
- Angel,J.B.,et al.:Drug Invest,6,70-74(1993)
- Yuen,G.J.,et al.:AIDS,14(Suppl.4),S93(2000)
- van Leeuwen,R.,et al.:J Infect Dis,171,1166-1171(1995)
- 米国添付文書
- Heald,A.E.,et al.:Antimicrob Agents Chemother,40,1514-1519(1996)
- Horton,C.M.,et al.:Clin Pharmacol Ther,55,198(1994)
- Eron,J.J.,et al.:N Engl J Med,333,1662-1669(1995)
- Katlama,C.,et al.:JAMA,276,118-125(1996)
- Bartlett,J.A.,et al.:Ann Intern Med,125,161-172(1996)
- Cammack,N.,et al.:Biochem Pharmacol,43,2059-2064(1992)
- Hart,G.J.,et al.:Antimicrob Agents Chemother,36,1688-1694(1992)
- Coates,J.A.V.,et al.:Antimicrob Agents Chemother,36,733-739(1992)
- Merrill,D.P.,et al.:J Infect Dis,173,355-364(1996)
- Schuurman,R.,et al.:J Infect Dis,171,1411-1419(1995)
- Tisdale,M.,et al.:Proc Natl Acad Sci U S A,90,5653-5656(1993)
- Back,N.K.T.,et al.:EMBO J,15,4040-4049(1996)
- Larder,B.A.,et al.:Science,269,696-699(1995)
- Maguire,M.,et al.:AIDS,14,1195-1201(2000)
- Kuritzkes,D.R.,et al.:AIDS,10,975-981(1996)
- Schinazi,R.,et al.:International Antiviral News,8,65-91(2000)
- Tisdale,M.,et al.:Antimicrob Agents Chemother,41,1094-1098(1997)
- Miller,V.,et al.:AIDS,12,705-712(1998)
文献請求先
グラクソ・スミスクライン株式会社
〒151-8566 東京都渋谷区千駄ヶ谷4-6-15
ヴィーブヘルスケア・カスタマー・サービス
TEL:0120-066-525(9:00~18:00/土日祝日及び当社休業日を除く)
FAX:0120-128-525(24時間受付)
【製造販売業者等の氏名又は名称及び住所】
製造販売元
ヴィーブヘルスケア株式会社
東京都渋谷区千駄ヶ谷4-6-15
http://glaxosmithkline.co.jp/viiv/index.html
販売元
グラクソ・スミスクライン株式会社
東京都渋谷区千駄ヶ谷4-6-15
http://www.glaxosmithkline.co.jp
|
おくすりガイド|
Page Top

