コンビビル配合錠の添付文書
- 商品名:
- コンビビル配合錠
- 一般名:
- AZT+3TC
(ラミブジン+ジドブジン) - 略称 :
- COM
添付文書の読み方
ここで提供している添付文書情報は、2013年4月17日現在の各医薬品の添付文書を基に作成したものです。書式等については、実際の添付文書と異なるところがあります。添付文書情報は随時更新されます。ご使用の際は、必ず最新の添付文書をご覧下さい。
また、記載されている内容には、専門的な情報が含まれています。文書内の、
この色の文字をクリックすると、別ウィンドウに読み方のアドバイスが表示されます。
この色の文字をクリックすると、別ウィンドウに重大な副作用の解説が表示されます。
この色の文字をクリックすると、別ウィンドウに副作用の症状とその類似語、定義の解説が表示されます。
記載されている情報をご覧になり、疑問などを持たれた場合は、医師・薬剤師にご相談ください。

2013年1月改訂(第15版)
【警告】
- 本剤の有効成分の一つであるジドブジンにより、骨髄抑制があらわれるので、頻回に血液学的検査を行うなど、患者の状態を十分に観察すること。
- B型慢性肝炎を合併している患者では、ラミブジンの投与中止により、B型慢性肝炎が再燃するおそれがあるので、本剤の投与を中断する場合には十分注意すること。特に非代償性の場合、重症化するおそれがあるので注意すること。
【禁忌】
(次の患者には投与しないこと)
【組成・性状】
組成
本剤は、1錠中にジドブジン300mg、ラミブジン150mgを含有する。添加物として結晶セルロース、デンプングリコール酸ナトリウム、ステアリン酸マグネシウム、軽質無水ケイ酸、ヒプロメロース、酸化チタン、マクロゴール400、ポリソルベート80を含有する。
性状
本剤は白色~微黄白色のフィルムコート錠である。
| 販売名 | 識別コード | 表 (直径) |
裏 | 側面 (厚さ) |
質量 |
|---|---|---|---|---|---|
| コンビビル 配合錠 |
GX FC3 |
![]() 長径:17.6mm 短径:7.3mm |
|
![]() 6.5mm |
769mg |
【効能又は効果】
HIV感染症
効能又は効果に関連する使用上の注意
- 本剤はジドブジン及びラミブジンの固定用量を含有する配合剤であるので、ジドブジン又はラミブジンの用量調節が必要な次の患者には個別のジドブジン製剤(レトロビルカプセル)又はラミブジン製剤(エピビル錠)を用いること。なお、ジドブジン製剤及びラミブジン製剤の使用にあたっては、それぞれの製品添付文書を熟読すること。
- 腎機能障害(クレアチニンクリアランスが50mL/分未満)を有する患者[ジドブジン及びラミブジンの高い血中濃度が持続するおそれがある。]
- 体重30kg未満の小児患者
- 肝硬変等の重篤な肝疾患を有する患者[肝臓におけるグルクロン酸抱合低下により、高い血中濃度が持続するおそれがある。]
- 本剤はジドブジン及びラミブジンの固定用量を含有する配合剤であるので、本剤に加えてジドブジン製剤又はラミブジン製剤を併用投与しないこと。
- 無症候性HIV感染症に関する治療開始については、CD4リンパ球数及び血漿中HIV RNA量が指標とされている。よって、本剤の使用にあたっては、患者のCD4リンパ球数及び血漿中HIV RNA量を確認するとともに、最新のガイドライン1)~3)を確認すること。
- ヒト免疫不全ウイルス(HIV)は感染初期から多種多様な変異株を生じ、薬剤耐性を発現しやすいことが知られているので、本剤は他の抗HIV薬と併用すること。
【用法及び用量】
通常、成人には1回1錠(ジドブジンとして300mg及びラミブジンとして150mg)を1日2回経口投与する。
用法及び用量に関連する使用上の注意
- 本剤投与中貧血(ヘモグロビン値が9.5g/dL未満)又は好中球減少(1000/mm3未満)が認められた場合は、本剤の投与を中止し、個別のジドブジン製剤(レトロビルカプセル)又はラミブジン製剤(エピビル錠)を用いて用量調節を行うこと。
- 本剤と他の抗HIV薬との併用療法において、因果関係が特定されない重篤な副作用が発現し、治療の継続が困難であると判断された場合には、本剤若しくは併用している他の抗HIV薬の一部を減量又は休薬するのではなく、原則として本剤及び併用している他の抗HIV薬の投与をすべて一旦中止すること。
【使用上の注意】
1.慎重投与
(次の患者には慎重に投与すること)
- 好中球数1000/mm3未満又はヘモグロビン値が9.5g/dL未満の患者[本剤の有効成分の一つであるジドブジンにより好中球数、ヘモグロビン値が更に減少することがある。]
- ビタミンB12欠乏患者[ジドブジンにより貧血が発現するおそれがある。]
- 膵炎を発症する可能性のある患者(膵炎の既往歴のある患者、膵炎を発症させることが知られている薬剤との併用療法を受けている患者)[本剤の投与により、膵炎を再発又は発症する可能性がある。]
- 肝機能障害のある患者[ジドブジンの高い血中濃度が持続するおそれがある。]
- 高齢者[「高齢者への投与」の項参照]
- 妊婦又は妊娠している可能性のある婦人[「妊婦、産婦、授乳婦等への投与」の項参照]
2.重要な基本的注意
- 本剤の使用に際しては、患者又はそれに代わる適切な者に、次の事項についてよく説明し同意を得た後、使用すること。
- 本剤の日本人における薬物動態及び有効性・安全性は確認されておらず、外国人における成績しか得られていないこと。
- 本剤はHIV感染症の根治療法薬ではないことから、日和見感染症を含むHIV感染症の進展に伴う疾病を発症し続ける可能性があるので、本剤投与開始後の身体状況の変化については、すべて担当医に報告すること。
- 本剤を含む現在の抗HIV療法が、性的接触又は血液汚染を介した他者へのHIV感染の危険性を低下させるかどうかは証明されていない。
- 本剤はジドブジン及びラミブジンの固定用量を含有する配合剤であるので、本剤に加えてジドブジン製剤(レトロビルカプセル)又はラミブジン製剤(エピビル錠、ゼフィックス錠、エプジコム配合錠)をさらに追加して服用しないこと。
- 本剤の有効成分であるジドブジンは相互作用が多く知られていることから、他院で処方された薬剤又は市販薬を服用中の場合は、すべて担当医に報告すること(「相互作用」の項参照)。
- 本剤の有効成分であるジドブジンにより骨髄抑制があらわれるので、投与開始後3ヵ月間は少なくとも2週間毎に血液学的検査を行い、その後は最低1ヵ月毎の検査を行うこと。
- 本剤又は他の抗HIV薬による治療経験が無く、かつ、原疾患であるHIV感染症により好中球数750/mm3未満又はヘモグロビン値が7.5g/dL未満に減少したと判断される患者に対しては、治療上の有益性が危険性を上回ると判断される場合にのみ、本剤の投与を考慮すること。
- 本剤を含むヌクレオシド系逆転写酵素阻害薬の単独投与又はこれらの併用療法により、重篤な乳酸アシドーシス(全身けん怠、食欲不振、急な体重減少、胃腸障害、呼吸困難、頻呼吸等)、肝毒性(脂肪沈着による重度の肝腫大、脂肪肝を含む)が、女性に多く報告されているので、上記の乳酸アシドーシス又は肝毒性が疑われる臨床症状や検査値異常が認められた場合には、本剤の投与を一時中止すること。特に、肝疾患の危険因子を有する患者においては注意すること。
- 抗HIV薬の使用により、体脂肪の再分布/蓄積があらわれることがあるので、異常が認められた場合には適切な処置を行うこと。
- 本剤を含む抗HIV薬の多剤併用療法を行った患者で、免疫再構築症候群が報告されている。投与開始後、免疫機能が回復し、症候性のみならず無症候性日和見感染(マイコバクテリウムアビウムコンプレックス、サイトメガロウイルス、ニューモシスチス等によるもの)等に対する炎症反応が発現することがある。また、免疫機能の回復に伴い自己免疫疾患(甲状腺機能亢進症、多発性筋炎、ギラン・バレー症候群、ブドウ膜炎等)が発現するとの報告があるので、これらの症状を評価し、必要時には適切な治療を考慮すること。
- 本剤の投与により膵炎があらわれることがある。膵炎を発症する可能性のある患者(膵炎の既往歴のある患者、膵炎を発症させることが知られている薬剤との併用療法を受けている患者)では、本剤の適用を考える場合には、他に十分な効果の認められる治療法がない場合にのみ十分注意して行うこと。本剤投与中に膵炎を疑わせる重度の腹痛、悪心・嘔吐等又は血清アミラーゼ、血清リパーゼ、トリグリセリド等の上昇があらわれた場合は、本剤の投与を直ちに中止し、画像診断等による観察を十分に行うこと。
- ヒト免疫不全ウイルス(HIV)による神経機能障害に対する本剤の有効性は確認されていない。
3.相互作用
併用禁忌
(併用しないこと)
| 関連する有効成分名 | 薬剤名等 | 臨床症状・措置方法 | 機序・危険因子 |
|---|---|---|---|
| ジドブジン | イブプロフェン (ブルフェン等) |
ジドブジンと併用投与した場合、血友病患者において出血傾向が増強することがある。 | 機序は不明である。 |
併用注意
(併用に注意すること)
| 関連する有効成分名 | 薬剤名等 | 臨床症状・措置方法 | 機序・危険因子 |
|---|---|---|---|
| ジドブジン | ペンタミジン、ピリメタミン、スルファメトキサゾール・トリメトプリム合剤、フルシトシン、ガンシクロビル、インターフェロン、ビンクリスチン、ビンブラスチン、ドキソルビシン | ジドブジンの毒性作用が増強されることがある。 | 機序は不明であるが、ともに腎毒性又は骨髄毒性を有するためと考えられている。 |
| プロベネシド | ジドブジンの全身クリアランスが約1/3に減少し半減期が約1.5倍延長したとの報告があるので、投与間隔を適宜あけること。 | ジドブジンのグルクロン酸抱合が競合的に阻害される。また、本剤のグルクロン酸抱合体の腎排泄が抑制されることが考えられている。 | |
| フルコナゾール、ホスフルコナゾール | ジドブジンの最高血中濃度が84%上昇するとの報告がある4)。 | ジドブジンのグルクロン酸抱合が競合的に阻害されることが考えられている。 | |
| リトナビル | ジドブジンの最高血中濃度が27%減少しAUCが25%減少するとの報告がある5)。 | ジドブジンのグルクロン酸抱合が促進されることが考えられている。 | |
| リファンピシン | ジドブジンの全身クリアランスが約2.5倍増加し、AUCが約1/2減少するとの報告がある6)。 | 機序は不明である。 | |
| フェニトイン | 血中フェニトイン濃度が約1/2に減少するとの報告がある7)。また、上昇するとも報告されているので、血中フェニトイン濃度を注意深く観察すること。 | 機序は不明である。 | |
| サニルブジン | 細胞内におけるサニルブジン三リン酸化体が減少し、サニルブジンの効果が減弱するとの報告があるので、本剤とサニルブジンとの併用療法は避けることが望ましい。 | 本剤が細胞内におけるサニルブジンのリン酸化を抑制することが考えられている。 | |
| リバビリン | invitroにおいてリバビリンとの併用により本剤の効果が減弱するとの報告があるので、本剤とリバビリンの併用療法は避けることが望ましい。 | 本剤の細胞内におけるリン酸化が競合的に阻害されることが考えられている。 | |
| アトバコン | 本剤のAUCが33%上昇し、グルクロン酸抱合体の最高血中濃度が19%低下した。ジドブジン500又は600mg/日を3週間投与した場合では、本剤の 血中濃度の上昇により、副作用の発現頻度が上昇する可能性は低いと考えられるが、アトバコンをより長期に投与する場合には、十分注意すること。 | 本剤のグルクロン酸抱合が阻害されることが考えられている。 | |
| ラミブジン | スルファメトキサゾール・トリメトプリム合剤 | ラミブジンのAUCが43%増加し、全身クリアランスが30%、腎クリアランスが35%減少したが、スルファメトキサゾール及びトリメトプリムの薬物動態 に有意な変化は見られなかったとの報告がある。なお、腎障害のない患者では本剤の投与量を調節する必要はない。 | 腎臓における排泄が競合すると考えられている。 |
| ザルシタビン | 細胞内におけるラミブジン及びザルシタビン三リン酸化体が減少し、両剤の効果が減弱するとの報告があるので、本剤とザルシタビンとの併用療法は避けることが望ましい。 | 本剤の細胞内におけるリン酸化が競合的に阻害されることが考えられている。 |
4.副作用
<国内における臨床試験>
本剤を用いた日本人における臨床試験成績は得られていないため、参考までに、HIV感染症を対象としたジドブジン製剤(ジドブジンとして400mg/日)及びラミブジン製剤(ラミブジンとして300mg/日)の併用投与を行った国内臨床試験の結果を示す。安全性評価対象症例42例中、副作用が報告されたのは30例(71.4%)で、主な副作用は赤血球減少等の貧血、空腹時血糖値上昇、嘔気、食欲不振であった。
<国内における使用成績調査>
本剤の使用成績調査557例中、279例(50.1%)に臨床検査値異常を含む副作用が報告された。その主なものは貧血67例(12.0%)、嘔気59例(10.6%)、トリグリセリド上昇・コレステロール上昇等の脂質増加57例(10.2%)、肝機能検査値異常36例(6.5%)、下痢32例(5.7%)であった(再審査終了時)。
<海外における臨床試験>
HIV感染症を対象としてジドブジン製剤及びラミブジン製剤の併用投与を行なった海外における4種類の二重盲検比較試験において、ラミブジン/ジドブジン併用群でそれぞれ、186例中127例(68.3%)、65例中40例(61.5%)、168例中105例(62.5%)、150例中64例(42.7%)に副作用が認められ、主な副作用は嘔気、頭痛、ニューロパシー、けん怠感・疲労であった。
重大な副作用
次のような症状があらわれることがあるので、定期的に検査を行うなど観察を十分に行い、異常が認められた場合には、投与を中止するなど適切な処置を行うこと。
- 重篤な血液障害:再生不良性貧血(頻度不明注1))、赤芽球癆(頻度不明注1))、汎血球減少(0.4%)、貧血(12.0%)、白血球減少(3.2%)、好中球減少(0.2%)、血小板減少(0.4%)
- 乳酸アシドーシス(0.2%)及び脂肪沈着による重度の肝腫大(脂肪肝)(0.2%)
- 膵炎(0.4%)
- 横紋筋融解症(頻度不明注1))
- 精神神経系:ニューロパシー(0.4%)、錯乱(頻度不明注1))、痙攣(頻度不明注1))、てんかん様発作(頻度不明注1))
- 心不全(頻度不明注1))
その他の副作用
以下のような副作用があらわれた場合には、症状に応じて適切な処置を行うこと。
| 1~11%未満 | 1%未満 | 頻度不明注1) | |
|---|---|---|---|
| 血液 | 平均赤血球容積(MCV)増加注2)、リンパ球減少注3)、リンパ節症注3) | ||
| 消化器 | 嘔気、下痢、腹痛、嘔吐、食欲不振、胃炎、鼓腸放屁 | 消化不良、便秘、口内潰瘍 | 嚥下困難、口唇浮腫、舌浮腫、おくび、歯肉出血、直腸出血、痔核注3)、腹部痙直注3) |
| 全身症状 | 倦怠感・疲労、体脂肪の再分布/蓄積(胸部、体幹部の脂肪増加末梢部、顔面の脂肪減少、野牛肩、血清脂質増加、血糖増加)、発熱 | 疼痛、頭痛、体重減少、無力症 | 胸痛、全身痛、悪寒、感冒症状、背痛、体温調節障害注3)、インフルエンザ様疾患 |
| 肝臓 | 肝機能検査値異常(AST(GOT)、AL(TGPT)等の上昇) | ||
| 筋骨格 | 骨痛・筋痛 | ミオパシー、CK(CPK)上昇を伴う筋脱力、筋痙直注3)、関節痛注3) | |
| 精神神経系 | めまい | うつ病、錯感覚、不眠、末梢神経障害、傾眠、失神 | 痙攣等の脳症状、活動低下、手足のしびれ感、情緒不安、筋痙攣、振戦、攣縮、痛覚過敏、神経過敏症、健忘症、見当識障害、嗄声、ストレス反応、空間の広がり感、睡眠障害注3)、不安注3)、感情障害注3) |
| 呼吸器 | 呼吸困難、肺炎、鼻出血、咽頭炎、鼻炎注2)、咳注3)、咽頭痛注3)、気管支炎注3)、副鼻腔炎注3)、耳管炎注3)、呼吸障害注3)、上気道炎注3) | ||
| 皮膚 | 発疹 | 湿疹、ざ瘡・毛嚢炎、そう痒、皮膚炎、脱毛 | 蕁麻疹、体臭変化、爪・皮膚・口腔粘膜の色素沈着、発汗注3) |
| 過敏症 | アレルギー反応 | ||
| 腎臓 | 頻尿、排尿障害、腎不全、無尿、多尿、血清クレアチニン上昇注3) | ||
| 循環器 | 心筋症、血管拡張 | ||
| 代謝・内分泌系 | トリグリセリド上昇・血清コレステロール上昇、血中尿酸上昇 | CK(CPK)上昇、高乳酸塩血症 | 血清アミラーゼ上昇、脱水、高血糖注2)、重炭酸塩低下注2)、総蛋白低下注3)、重炭酸塩上昇注3)、総蛋白上昇注3)、血糖値低下注3) |
| その他 | 味覚倒錯、霧視 | 羞明、弱視、難聴、敗血症、女性化乳房 |
注1)自発報告又は海外においてジドブジン製剤とラミブジン製剤の併用投与を行った4種類の二重盲検比較試験等で認められている副作用については頻度不明とした。
注2)海外における上記4種類の二重盲検比較試験での頻度:20%以上
注3)海外における上記4種類の二重盲検比較試験での頻度:20%未満
5.高齢者への投与
高齢者では肝機能又は腎機能が低下していることが多いため高い血中濃度が持続するおそれがあるので、患者の状態を観察しながら慎重に投与すること。
6.妊婦、産婦、授乳婦等への投与
- 妊婦(特に妊娠3ヵ月以内)又は妊娠している可能性のある婦人には、治療上の有益性が危険性を上回ると判断される場合にのみ投与すること。[ジドブジン:本剤の有効成分の一つであるジドブジンはヒト胎盤を通過する。出生児の血漿中ジドブジン濃度は、分娩時の母親の血漿中濃度と同じであることが報告されている8)。また、ジドブジンが胎児臍帯血白血球のDNAに取り込まれたという報告がある9)。ラットの受胎能及び一般生殖能試験(50、150、450mg/kg/日、1日2回投与)では、中及び高用量群に胚吸収率の増加、高用量群に胎児平均体重の減少がみられた。また、サルを用いた試験で、胎児にミトコンドリア障害(心筋及び骨格筋におけるミトコンドリアミオパシー)が認められたとの報告がある10)。
ラミブジン:本剤の有効成分の一つであるラミブジンはヒト胎盤を通過する。出生児の血清中ラミブジン濃度は、分娩時の母親の血清中及び臍帯血中の濃度と同じであることが報告されている。なお、動物実験(ウサギ)で胎児毒性(早期の胚死亡数の増加)が報告されている。
ジドブジン/ラミブジン共通:ヌクレオシド系逆転写酵素阻害薬(NRTI)を子宮内曝露又は周産期曝露された新生児及び乳児において、ミトコンドリア障害によると考えられる軽微で一過性の血清乳酸値の上昇が報告されている。また、非常にまれに発育遅延、てんかん様発作、他の神経疾患も報告されている。しかしながら、これら事象とNRTIの子宮内曝露、周産期曝露との関連性は確立していない。] - 授乳中の婦人には本剤投与中は授乳を避けさせること。[ジドブジン:経口投与されたジドブジン(200mg、単回投与)は、ヒト乳汁中に排泄され、血清中の濃度と同じであることが報告されている。
ラミブジン:経口投与されたラミブジンはヒト乳汁中に排泄され、血清中の濃度と同じ(1~8μg/mL)であることが報告されている。]
7.小児等への投与
本剤はジドブジン及びラミブジンの固定用量を含有する配合剤であるので、ジドブジン又はラミブジンの用量調節が必要である体重30kg未満の小児患者には、個別のジドブジン製剤(レトロビルカプセル)又はラミブジン製剤(エピビル錠)を用いること。
8.過量投与
徴候、症状
本剤を過量投与した症例は報告されていない。ジドブジン及びラミブジンを過量投与した症例が報告されているが、いずれも回復し、死亡例は認められていない。なお、過量投与時に特有の徴候や症状は認められていない。
処置
本剤の副作用(「副作用」の項参照)について十分に観察を行い、必要に応じ、一般的な対症療法を行うこと。具体的なデータは示されていないが、ラミブジンは透析可能であることから、必要に応じ血液透析を行うことを考慮すること。血液透析及び腹膜透析はジドブジンの除去には一部しか関与しないが、グルクロン酸抱合体の排泄を亢進する。
9.適用上の注意
薬剤交付時
PTP包装の薬剤はPTPシートから取り出して服用するよう指導すること。(PTPシートの誤飲により、硬い鋭角部が食道粘膜へ刺入し、更には穿孔をおこして縦隔洞炎等の重篤な合併症を併発することが報告されている。)
10.その他の注意
- 本剤の有効成分の一つであるジドブジンについては、in vitroの試験において、アスピリン、インドメタシン等のグルクロン酸抱合により代謝される薬剤が本剤のグルクロン酸抱合を阻害したとの報告がある11)。
- 本剤の有効成分の一つであるジドブジンについては、がん原性試験で試験末期に雌動物(ラット及びマウス)に膣腫瘍が発生したとの報告がある。[マウス(20、30、40mg/kg/日、1日1回経口投与)及びラット(80、220、300mg/kg/日、1日1回経口投与)におけるがん原性試験で、膣扁平上皮癌(マウス高用量群5/60例、ラット高用量群2/60例)が認められた12)。]
- 本剤の有効成分の一つであるジドブジンについては、マウスにおける経胎盤曝露によるがん原性試験で次の報告がある。
- 最大耐量(420mg/kg/周産期体重)を妊娠12~18日(妊娠中~末期)に投与された母動物からの出生児において、出生1年後、肺、肝及び雌性生殖器の腫瘍発生率の増加が認められた13)。
- 母動物に最高40mg/kgを妊娠10日から分娩を経て離乳まで投与した。引き続き離乳後は出生児に同量を生後24ヵ月まで投与したところ、投与期間末期に膣扁平上皮癌が認められた。この成績は上記 2.のがん原性試験で認められた腫瘍の発生率及び発生時期と同様であった14)。
- 本剤の有効成分の一つであるジドブジンの変異原性について、次の報告がある。
- Ames試験では変異原性は認められなかったが、マウスリンパ腫細胞を用いた遺伝子突然変異試験において弱い変異原性を示し、in vitroの細胞形質転換試験において陽性を示した12)。
- ラットを用いたin vivo 染色体異常試験では染色体の損傷は認められなかったが、ヒト培養リンパ球を用いたin vitro染色体異常試験、ラット及びマウスを用いたin vivo小核試験で染色体異常誘発作用が認められた12)。また、11人のAIDS患者の末梢血リンパ球において、ジドブジン服用患者は非服用患者と比較して染色体異常頻度が高かったとの報告がある15)。
- ジドブジンが成人AIDS患者の白血球のDNA及びその胎児臍帯血白血球のDNAに取り込まれたとの報告がある9)。
- 本剤の有効成分の一つであるラミブジンについては、遺伝毒性試験において弱い染色体異常誘発作用を示したとの報告がある。また、長期のがん原性試験において発がん性を認めなかったとの報告がある。[ヒト末梢血リンパ球を用いた染色体異常試験では300μg/mL以上、マウスリンパ腫細胞を用いた遺伝子突然変異試験では2000μg/mL以上で陽性を示した。マウス及びラットを用いた長期のがん原性試験では、臨床用量におけるヒト全身曝露量(AUC)の10倍(マウス)及び58倍(ラット)までの曝露量において、発がん性は認められなかった。]
【薬物動態】
1.本剤の単独投与もしくはジドブジン製剤とラミブジン製剤併用投与での成績
<日本人における成績>16)
HIV感染者6例に対し、ジドブジン100mg1日4回とラミブジン150mg1日2回を25日間以上連続経口投与した時のジドブジン、ラミブジンの血漿中薬物濃度の推移を図-1に、薬物動態パラメータを表-1に示した。ジドブジンは投与後0.8時間で、ラミブジンは投与後1.3時間で最高血漿中濃度に達し、ジドブジン、ラミブジンの最高血漿中濃度平均はそれぞれ0.549μg/mL、1.547μg/mLであった。ジドブジン、ラミブジンの平均半減期はそれぞれ1.1時間、2.3時間であった。
| Cmax(μg/mL) | Tmax(h) | t1/2(h) | AUC0-6(μg・h/mL) | AUC0-12(μg・h/mL) | |
|---|---|---|---|---|---|
| ジドブジン | 0.549±0.261 | 0.8±0.3 | 1.1±0.1 | 0.858±0.266 | ― |
| ラミブジン | 1.547±0.302 | 1.3±0.6 | 2.3±0.6 | 5.089±1.692 | 6.165±2.312 |
<外国人における成績>(社内資料)
1)生物学的同等性
健康成人24例に、一晩絶食後に本剤(ジドブジン300mg及びラミブジン150mgを含有する配合剤)1錠、及び、一晩絶食後にジドブジン製剤(ジドブジン300mgを含有する錠剤)及びラミブジン製剤(ラミブジン150mgを含有する錠剤)各1錠を投与し、生物学的同等性を評価した。本剤投与時とジドブジン製剤及びラミブジン製剤の併用投与時のジドブジン及びラミブジンのAUClast、AUC∞及びCmaxは、生物学的同等性の判定基準(平均値の比の90%信頼区間が0.8~1.25の範囲内)を満たし、生物学的同等性が示された。
2)食事の影響
健康成人24例に、標準朝食(炭水化物58g、蛋白質33g、脂肪67g)摂取後に本剤(ジドブジン300mg及びラミブジン150mgを含有する配合剤)を投与したとき、一晩絶食後に投与したときと比較して、ジドブジンのCmaxは45%低下し、Tmaxは30分から1時間(中央値)に遅延し、ラミブジンのCmaxは15%低下した。一方AUC∞はラミブジンでは変化が認められず、ジドブジンでは10%の低下であり、食事摂取により曝露量はほとんど変化しなかった。
3)ジドブジン製剤及びラミブジン製剤の併用投与時の成績17)
ラミブジンとジドブジンの併用投与を行なったとき、ジドブジンの最高血中濃度が28%上昇したが、ラミブジン及びジドブジンのAUCに有意な変化は認められなかった。
2.ジドブジン単独投与での成績
(1)血漿中濃度18)
成人HIV感染患者にジドブジンを反復経口投与後のCmax及びAUCは、2.0mg/kgを8時間毎~10mg/kgを4時間毎の投与量範囲で投与量に比例して増加し、0.5~1.5時間で最高血漿中濃度に達し、半減期約1時間(0.78~1.93時間)で消失した。また、ジドブジンを静脈内投与した場合、1~5mg/kgの範囲で線形の薬物動態を示し、半減期は約1.1時間(0.48~2.86時間)、全身クリアランス(CL)は1900mL/min/70kg、みかけの分布容積(Vd)は1.6L/kgであった。
成人HIV感染患者にジドブジン250~1250mgを4時間毎に反復経口投与した場合の生物学的利用率は平均65%(52~75%)であった
(2)分布
髄液中への移行が認められ、2mg/kg経口投与1.8時間後におけるジドブジンの髄液中/血漿中濃度比は0.15であり、2.5及び5.0mg/kg静脈内投与2~4時間後の髄液中/血漿中濃度比はそれぞれ0.20及び0.64であった18)。
in
vitroにおけるジドブジンの血漿蛋白結合率は34~38%であり、結合部位置換による薬物相互作用は予想されない。結合蛋白はアルブミンと同定された19)
(3)代謝・排泄
ジドブジンは吸収後、主にUDP-glucuronosyl transferaseによってグルクロン酸抱合をうけ、主代謝物3'-azido-3'-deoxy-5'-O-β-D-glucopyranuronosyl
thymidine(GZDV)に速やかに代謝される。副代謝経路として3'-amino-3'-deoxythymidine(AMT)及びそのグルクロン酸抱合体(GAMT)に代謝される経路も存在する20)。
静脈内投与後のGZDVのAUCは未変化体のAUCの約3倍であり、AMTのAUCは未変化体のAUCの1/5であった。HIV感染患者にジドブジンを経口投与後の未変化体及びGZDVの尿中排泄率はそれぞれ14.3%及び75.2%であった。ジドブジンの腎クリアランスは400mL/min/70kgであり、糸球体濾過及び能動的尿細管分泌による排泄機構が示唆される18)。
(4)腎機能障害を有する成人における薬物動態18)
腎機能障害を有する成人患者(平均クレアチニンクリアランス18±2mL/min)に、ジドブジン200mgを単回経口投与した時、腎機能が正常な患者での半減期が1.0時間であったのに対し、腎機能障害患者では1.4時間であり、AUCは正常患者の約2倍であった。また、GZDVの半減期は正常患者で0.9時間であったのに対して8.0時間に延長し、AUCは17倍であった。
3.ラミブジン単独投与での成績
(1)血漿中濃度21)~23)
成人HIV感染者に2mg/kgを1日2回15日間経口投与したとき、初回投与時では投与1.5時間後に最高血中濃度の1.5μg/mLに達し、半減期は2.6時間であり、15日間投与後では血中濃度は定常状態に達し、最高血中濃度は1.9μg/mLであった。また、成人HIV感染者に0.25~8mg/kgを単回経口投与したときの生物学的利用率は約82%であった。
(2)分布24)
成人HIV感染者に4~10mg/kgを1日2回2週間以上反復経口投与したとき、投与2時間後の脳脊髄液中濃度は血中濃度の約6%であった。
(3)代謝・排泄25)
ヒトでの主代謝体はトランス-スルホキシド体(1-[(2R,5S)-trans-2-hydroxymethyl-1,3-oxathiolan-3-oxide-5-yl]cytosine)であった。成人HIV感染者に2mg/kgを経口投与したとき、投与後12時間尿中にトランス-スルホキシド体が投与量の5.2%排泄された。また、血中濃度が定常状態での未変化体の尿中排泄率は投与量の約73%であり、腎排泄がラミブジンの体内からの除去の主要な経路であることが示された。
(4)腎機能障害を有する成人における薬物動態26)
腎機能の低下したHIV患者にラミブジンを300mg単回経口投与したとき、クレアチニンクリアランスの低下につれてAUC及び最高血中濃度が増加し、半減期が延長し、見かけの全身クリアランスが減少した。
【臨床成績】
本剤を用いた日本人における臨床試験成績は得られていないため、参考までに、HIV感染症を対象としたジドブジン100mg1日4回及びラミブジン150mg1日2回の併用投与を行った国内臨床試験の結果を示す16)。
試験開始前のCD4リンパ球数が100~400/mm3の12歳以上のHIV感染者42例を対象とした多施設共同オープン試験(ラミブジン150mg1日2回とジドブジン100mg1日4回を併用投与)で、有効性評価対象症例37例での臨床評価の概要は次のとおりである。
CD4リンパ球数は、試験開始時の平均220.8/mm3から4週後には約25/mm3増加し、8週後から24週後までの増加量は4.6~34.0/mm3で推移した。CD4リンパ球数の推移を図-2に示した。
CD4パーセントは、開始時の18.81%から4週後には20.03%へ有意に増加し、8週後から24週後まではほとんど変動なく約20%で推移した。血漿中HIV
RNA量は、試験開始時の平均3.8log10 copies/mLから4週後には1.6log10
copies/mL有意に減少し、8週後から24週後までは0.7~1.2log10 copies/mL減少した。血漿中HIV RNA量の推移を図-3に示した。
<海外において実施された臨床試験の成績>
(1)本剤を用いた臨床試験(試験B3027)(社内資料)
抗レトロウイルス薬による治療経験のないウイルス量が10000copies/mL以上、及びCD4リンパ球数が200/mm3以上の診断が確定したHIV感染症患者75例を対象とした無作為多施設オープン試験において、ジドブジン200mg1日3回及びラミブジン150mg1日2回の併用投与又は本剤(ジドブジン300mg/ラミブジン150mg1日2回)の単独投与を12週間行い有効性を比較した。投与開始12週後における血漿中HIV RNA量の平均変化量を表-2に示した。両群において血漿中HIV RNA量の平均変化量に有意な差は認められなかった。
| ジドブジン/ラミブジン 併用投与群 |
本剤投与群 | 95%信頼区間 | |
| Intent-to-treat analysis 例数 HIV RNA量の平均変化量 (log10copies/mL) |
38 -1.36 |
33 -1.36 |
〔-0.301、0.298〕※ |
| Per-protocol analysis 例数 HIV RNA量の平均変化量 (log10copies/mL) |
33 -1.37 |
30 -1.41 |
〔-0.364、0.283〕※ |
※:95%信頼区間において0を含む場合は有意(p<0.05)でないとみなした。
(2)ジドブジンとラミブジンの併用療法によるHIV感染症の進展に関する比較検討27)
欧米で行われた4つの二重盲検比較試験についてmeta-analysisを行った。
ジドブジン200mg1日3回にラミブジン150mg又は300mg1日2回を併用投与した群(ラミブジン併用群)における症例数は569例、ジドブジン200mg1日3回の単独投与又はジドブジンにザルシタビンを併用投与した群(比較対照群)は316例で、両群の患者背景には差を認めなかった。試験期間中、CDC分類のB/Cあるいは新たなB/C症状に進展した患者数は計118例、また、Cへの進展は計28例に認められた。meta-analysisの結果、ラミブジン併用群は比較対照群に比し、CDC分類のB/Cへの進展は49%減少し(p<0.0001)、CDC分類Cへの進展は66%減少した(p=0.003)。
(3)HIV感染症に対するジドブジンとラミブジン又はラミブジンとloviride注1)の併用とジドブジン単独投与注2)の無作為二重盲検比較試験(試験B3007 CAESAR試験)28)
CD4リンパ球数が25~250/mm3かつkarnofsky
scoreが70以上のHIV感染症患者1840例を対象とした二重盲検比較試験において、ジドブジン1日500~600mgとプラセボを併用投与した群(プラセボ併用群)は471例、ジドブジンにラミブジン150mg1日2回を併用投与した群(ラミブジン併用群)は907例、ジドブジンにラミブジンとloviride100mg1日3回を併用投与した群(ラミブジン/loviride併用群)は462例であった。52週間の試験期間中に、AIDS若しくは死亡へ進行した患者(Intent-to-treat解析)は、プラセボ併用群で95例(20%)、ラミブジン併用群で86例(9%)、ラミブジン/loviride併用群で42例(9%)であり、ラミブジンが併用された群では、いずれもプラセボ併用群に比較して有意にAIDS若しくは死亡への進行が抑えられた(p<0.0001)。
注1)国内では未承認の非ヌクレオシド系逆転写酵素阻害剤
注2)ジドブジンにザルシタビン又はジダノシンの併用投与は可能とした。
(4)エイズ患者又は進展したARC患者に対するジドブジンの用法変更に関する臨床試験(ジドブジンの単独投与による成績)(社内資料)
エイズ患者及び進行性ARC患者320例を対象とした二重盲検比較試験において、ジドブジン300mgを1日2回12時間毎に投与した群(1日2回投与群)は162例で、100mgを1日6回4時間毎に投与した群(1日6回投与群)は158例であった。
1)48週間の試験期間中に発現した死亡症例数及び日和見感染症発症例数等について、両群間に差は認められなかった(表-3)。
| 1日2回投与群(n=162) | 1日6回投与群(n=158) | |
| 死亡症例数 | 5 | 5 |
| 日和見感染症発症例数 | 33 | 29 |
| 平均体重増加量(第20週)(kg) | 1.9 | 3.2 |
| CD4リンパ球数増加量(/mm3) | 22(最高値、第4週)※ | 29(最高値、第8週)※ |
※両群共に16-24週の間にベースラインまで減少し、以降更に減少した。
2)副作用発現頻度について、両群間に差は認められなかった(表-4)。
| 1日2回投与群(n=162) | 1日6回投与群(n=158) | |
| 貧血(Hgb<8.0g/dL) | 14% | 16% |
| 好中球減少(<1000/mm3) | 42% | 42% |
| 嘔気 | 15% | 18% |
| 頭痛 | 12% | 11% |
| 無力症 | 6% | 5% |
| 筋肉痛 | 1% | 5% |
| 嘔吐 | 4% | 4% |
【薬効薬理】
<ジドブジン>
(1)作用機序29)
ジドブジン(AZT)はHIV感染細胞内でリン酸化され、活性型の三リン酸化体(AZTTP)となる。AZTTPはHIV逆転写酵素を競合的に阻害し、またデオキシチミジン三リン酸の代わりにウイルスDNA中に取り込まれて、DNA鎖伸長を停止することによりウイルスの増殖を阻害する。AZTTPのHIV逆転写酵素に対する親和性は、正常細胞のDNAポリメラーゼに比べて約100倍強いので、選択性の高い抗ウイルス作用を示す(ヒトリンパ球系H9細胞増殖に対するin vitroでのID50値は267μg/mL(1000μM))。
(2)抗ウイルス作用
- ジドブジンのHIVに対するin vitroにおけるID50値は、CD4リンパ球系細胞を用いた系では0.13μg/mL(0.49μM)以下であった30)。
- マウスにマウスレトロウイルス(Rauscherマウス白血病ウイルス)を接種し、接種4時間目より、ジドブジンを1.0mg/mLの割合で飲用水に混入して投与した実験では、平均脾臓重量、脾臓細胞感染率、及び血中ウイルス力価が対照群に比し著しく低下した。また感染後生存日数も延長した31)。
- ジドブジンを、ラミブジン、ジダノシン等の抗HIV薬あるいはインターフェロンαと併用することで、in vitroの抗ウイルス作用は、相加的あるいは相乗的に増大した32),33)。
(3)薬剤耐性
ジドブジンを含むチミジンアナログに対する耐性は、HIV逆転写酵素の41、67、70、210、215及び219番目のアミノ酸の変異によって生じ、これらのうち41番目と215番目の変異あるいは4個以上の変異によってウイルスは表現型として耐性を示す34),35)。なお、これらチミジンアナログの変異を有するウイルスは高度の交差耐性を示さない36)。
また、62、75、77、116及び151番目のアミノ酸の変異、並びに69番目のアミノ酸のスレオニンからセリンへの変異とそれに加えて同じ個所への6塩基対の挿入により、ウイルスはジドブジンを含むヌクレオシド系逆転写酵素阻害薬に対し多剤耐性を示す37)~39)。
なお、in vitroで、ジドブジン耐性ウイルスはジドブジン及びラミブジンの投与によりラミブジンに対して耐性を獲得すると、ジドブジンに対して感受性は回復する。また、抗HIV薬の治療経験のない患者にジドブジンとラミブジンを併用することによりジドブジン耐性ウイルスの出現が遅延する40)。
<ラミブジン>
(1)作用機序
ラミブジンは細胞内でリン酸化され、HIVを感染させた細胞内での半減期が約12時間の5'-三リン酸化体に変換される41)。ラミブジン5'-三リン酸化体はHIVの逆転写酵素によりウイルスDNA鎖に取り込まれ、DNA鎖の伸長を停止することによりHIVの複製を阻害する42)。また、ラミブジン5'-三リン酸化体はHIVの逆転写酵素を競合的に阻害する42)。一方、in vitroで、ヒト末梢血リンパ球、リンパ球系・単球-マクロファージ系の株化細胞43)及び種々のヒト骨髄前駆細胞に対するラミブジンの細胞毒性は弱かった。
(2)抗ウイルス作用
In vitroでのラミブジンのHIV-1(RF、GB8、U455及びIIIB)に対するIC50値は670nM以下、HIV-2 RODに対するIC50値は40nMであり43)、ジドブジンと併用することにより相乗的な抗ウイルス作用が認められた44)。また、ラミブジンは単独で、ジドブジン耐性臨床分離株の平均p24抗原量を薬物無処置群に比べ66~80%低下させた。
(3)薬剤耐性
ラミブジンを含む抗HIV薬で治療を受けたHIV-1感染患者で発現するラミブジン耐性HIV-1には、ウイルス逆転写酵素の活性部位に近い184番目のアミノ酸のメチオニンからバリンへの変異(M184V)がみられる45)。このM184V変異の結果、ウイルスのラミブジンに対する感受性は著明に低下し45),46)、in vitroでのウイルスの複製能力は低下する47)。in vitroで、ジドブジン耐性ウイルスはジドブジン及びラミブジンの投与によりラミブジンに対して耐性を獲得すると、ジドブジンに対して感受性は回復する。また、抗HIV薬の治療経験のない患者にジドブジン及びラミブジンを併用することにより、ジドブジン耐性ウイルスの出現が遅延する40)。さらに、抗HIV薬(ラミブジンを含む)の多剤併用療法はM184V変異ウイルスを有する患者と同様、抗HIV薬の治療経験のない患者においても有効性が確認されている48),49)。
(4)交差耐性
ジドブジン及びサニルブジンは、ラミブジン耐性HIV-1に対し抗ウイルス活性を維持する36),40),46)。アバカビルはM184V変異のみが認められているウイルスに対しては、抗ウイルス活性を維持する50)。また、ジダノシン及びザルシタビンは、M184V変異ウイルスに対して感受性が低下するという報告があるが、これらの感受性の低下と臨床効果の関係は明らかにされていない51)。
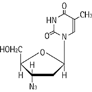
【有効成分に関する理化学的知見】
一般名
ジドブジン(Zidovudine)
化学名
3'-アジド-3'-デオキシチミジン
分子式
C10H13N5O4
分子量
267.24
構造式
性状
白色~微黄白色の粉末で、においはない。エタノール(95)にやや溶けやすく、水にやや溶けにくい。
光によって分解する。
融点
124~126℃
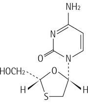
一般名
ラミブジン(Lamivudine)
化学名
(-)-1-[(2R,5S)-2-ヒドロキシメチル-1,3-オキサチオラン-5-イル]シトシン
分子式
C8H11N3O3S
分子量
229.26
構造式
性状
白色~微黄白色の結晶性の粉末である。ジメチルスルホキシドに溶けやすく、水にやや溶けやすく、メタノール又はエタノール(99.5)にやや溶けにくく、ジエチルエーテルにほとんど溶けない。
融点
約176℃
【包装】
コンビビル配合錠:100錠(10錠×10)PTP
【主要文献及び文献請求先】
主要文献
- Guidelines for Using Antiretroviral Agents Among HIV-Infected Adults and Adolescents.(DHHS,https://aidsinfo.nih.gov/Guidelines/)
- 抗HIV治療ガイドライン(https://www.haart-support.jp/)
- HIV感染症「治療の手引き」(http://www.hivjp.org/)
- Sahai,J.,et al.:J Infect Dis,169,1103-1107(1994)
- Norvir PDR 52版(1998)
- Burger,D.M.,et al.:Antimicrob Agents Chemother,37,1426-1431(1993)
- Burger,D.M.,et al.:Pharm Weekbl,126,454-461(1991)
- O'Sullivan,M.J.,et al.:Am J Obstet Gynecol,168,1510-1516(1993)
- Olivero,O.A.,et al.:AIDS,13,919-925(1999)
- Gerschenson,M.,et al.:AIDS Res Hum Retroviruses,16,635-644(2000)
- Sim,S.M.,et al.:Br J Clin Pharmacol,32,17-21(1991)
- Ayers,K.M.,et al.:Fundam Appl Toxicol,32,148-158(1996)
- Diwan,B.A.,et al.:Toxicol Appl Pharmacol,161,82-99(1999)
- Ayers,K.M.,et al.:Fundam Appl Toxicol,38,195-198(1997)
- Shafik,H.M.,et al.:Antiviral Res,16,205-212(1991)
- 木村 哲ほか:化学療法の領域,14,1419-1432(1998)
- Horton,C.M.,et al.:Clin Pharmacol Ther,55,198(1994)
- Retrovir PDR 52版(1998)
- Luzier,A.,et al.:Antiviral Res,21,267-280(1993)
- Acosta,E.P.,et al.:Clin Pharmacokinet,30,251-262(1996)
- Pluda,J.M.,et al.:J Infect Dis,171,1438-1447(1995)
- van Leeuwen,R.,et al.:AIDS,6,1471-1475(1992)
- Angel,J.B.,et al.:Drug Invest,6,70-74(1993)
- van Leeuwen,R.,et al.:J Infect Dis,171,1166-1171(1995)
- エピビル錠 米国添付文書
- Heald,A.E.,et al.:Antimicrob Agents Chemother,40,1514-1519(1996)
- Staszewski,S.,et al.:AIDS,11,477-483(1997)
- CAESAR Coordinating Committee:Lancet,349,1413-1421(1997)
- Furman,P.A.,et al.:Proc Natl Acad Sci U S A,83,8333-8337(1986)
- Mitsuya,H.,et al.:Proc Natl Acad Sci U S A,82,7096-7100(1985)
- Ruprecht,R.M.,et al.:Nature,323,467-469(1986)
- Johnson,V.A.,et al.:J Infect Dis,164,646-655(1991)
- St Clair,M.H.,et al.:J Acquir Immune Defic Syndr Hum Retrovirol,10(suppl 2),S83-S91(1995)
- Hooker,D.J.,et al.:J Virol,70,8010-8018(1996)
- Kellam,P.,et al.:J Gen Virol,75,341-351(1994)
- Schinazi,R.F.,et al.:International Antiviral News,8,65-91(2000)
- Iversen,A.K.N.et al.:J Virol,70,1086-1090(1996)
- Winters,M.A.et al.:J Clin Invest,102,1769-1775(1998)
- De Antoni,A.et al.:J Infect Dis,176,899-903(1997)
- Larder,B.A.,et al.:Science,269,696-699(1995)
- Cammack,N.,et al.:Biochem Pharmacol,43,2059-2064(1992)
- Hart,G.J.,et al.:Antimicrob Agents Chemother,36,1688-1694(1992)
- Coates,J.A.V.,et al.:Antimicrob Agents Chemother,36,733-739(1992)
- Merrill,D.P.,et al.:J Infect Dis,173,355-364(1996)
- Schuurman,R.,et al.:J Infect Dis,171,1411-1419(1995)
- Tisdale,M.,et al.:Proc Natl Acad Sci U S A,90,5653-5656(1993)
- Back,N.K.T.,et al.:EMBO J,15,4040-4049(1996)
- Maguire,M.et al.:AIDS,14,1195-1201(2000)
- Kuritzkes,D.R.,et al.:AIDS,10,975-981(1996)
- Tisdale,M.,et al.:Antimicrob Agents Chemother,41,1094-1098(1997)
- Miller,V.,et al.:AIDS,12,705-712(1998)
文献請求先
グラクソ・スミスクライン株式会社
〒151-8566 東京都渋谷区千駄ヶ谷4-6-15
ヴィーブヘルスケア・カスタマー・サービス
TEL:0120-066-525(9:00~18:00/土日祝日及び当社休業日を除く)
FAX:0120-128-525(24時間受付)
【製造販売業者等の氏名又は名称及び住所】
製造販売元
ヴィーブヘルスケア株式会社
東京都渋谷区千駄ヶ谷4-6-15
http://glaxosmithkline.co.jp/viiv/index.html
販売元
グラクソ・スミスクライン株式会社
東京都渋谷区千駄ヶ谷4-6-15
https://jp.gsk.com/jp
|
おくすりガイド|


Page Top