
�z�[�� > ������R�[�i�[ > �k�o�u�^�q�s�u�i�J���g���j

| ���i���F | �J���g���A�J���g���E���L�b�h |
|---|---|
| ��ʖ��F | ���s�i�r���E���g�i�r�� |
| ���́@�F | LPV |
�����Œ��Ă���Y�t�������́A2004�N11���P�����݂̊e���i�̓Y�t��������ɍ쐬�������̂ł��B�������ɂ��ẮA���ۂ̓Y�t�����ƈقȂ�Ƃ��낪����܂��B�Y�t�������͐����X�V����܂��B���g�p�̍ۂ́A�K���ŐV�̓Y�t�����������������B
�܂��A�L�ڂ���Ă�����e�ɂ́A���I�ȏ�܂܂�Ă��܂��B�������́A
���̐F�̕������N���b�N����ƁA�ʃE�B���h�E���ǂݕ��̃A�h�o�C�X���\������܂��B
���̐F�̕������N���b�N����ƁA�ʃE�B���h�E���d��ȕ���p�̉�����\������܂��B
���̐F�̕������N���b�N����ƁA�ʃE�B���h�E������p�̏Ǐ�Ƃ��̗ގ���A��`�̉�����\������܂��B
�L�ڂ���Ă�����������ɂȂ�A�^��Ȃǂ������ꂽ�ꍇ�́A��t�E��t�ɂ����k���������B
�����̃y�[�W���J�������ɖڎ��������I�ɕ\������Ȃ������Ƃ��́A�������N���b�N���Ă��������B
�R�E�C���X���w�Ö@��
���s�i�r���E���g�i�r���z����
�R�E�C���X���w�Ö@��
���s�i�r���E���g�i�r���z����
����2003�N2�������i��2�Łj�������F����NjL
2000�N12���쐬
���{�W�����i���ޔԍ�
87625
�K���敪�F����A�w����i�A�v�w�����i��)
��)���Ӂ|��t���̏�������E�w���ɂ��g�p���邱��
���@�F�C���e��C�Ռ��E�Q�`�W���i�①�Ɂj�ۑ�
�g�p�����F���x���C�P�[�X�ɋL��
| �\�t�g�J�v�Z�� | ���L�b�h | |
|---|---|---|
| ���F�ԍ� | 21200AMY00236000 | 21200AMY00237000 |
| ���� | 2000�N12�� | 2000�N12�� |
| �̔��J�n | 2000�N12�� | 2000�N12�� |
| ���ےa�� | 2000�N9�� | |
| �̔��� | �J���g���E�\�t�g�J�v�Z�� | |||
|---|---|---|---|---|
| �����E�ܗ� | 1�J�v�Z���� ���s�i�r��133.3mg�E���g�i�r��33.3mg | |||
| �Y���� | �v���s�����O���R�[���C�I���C���_,�|���I�L�V��35�q�}�V��,�[���`��,���F5��,�_���`�^�� | |||
| �F�E�܌` | ��F�E���ȉ~�̓�J�v�Z�� | |||
| �傫�� | ���a�imm�j | �����imm�j | �d���ig�j | �O�` |
| ��21 | ��X | ��1.55 | ![]() |
|
| ���ʃR�[�h | PK |
|||
| �̔��� | �J���g���E�\�t�g�J�v�Z�� |
|---|---|
| �̔��� | �J���g���E���L�b�h |
| �����E�ܗ� | �P��L�� ���s�i�r��80mg�E���g�i�r��20mg |
| �Y���� | �G�^�m�[���C�v���s�����O���R�[���C�T�b�J�����i�g���E���C�|���I�L�V�G�`�����d���q�}�V��40�C�|�r�h��,�O���Z����,�g�E�����R�V�V���b�v,�����i�g���E��,�N�G���_�i�g���E��,�A�Z�X���t�@���J���E��,�����N�G���_,dl-�����g�[��,�x���W���A���R�[��,�o�j����,���� |
| �F�E�܌` | �W���F�`�W���F�̐����ȉt�� |
| �ɂ����E�� | �y�p�[�~���g�̂ɂ����C���͐�����������C�Â��ꂢ |
HIV������
�P�D�{�܂̎g�p�ɍۂ��ẮC���҂܂��͂���ɑ���K�Ȏ҂ɁC���̎����ɂ����悭���������ӂ���C�g�p�������ƁD
�P�j�{�܂�HIV�����ǂ̍��{�I���Ö�ł͂Ȃ����Ƃ���C�� �a���������܂�HIV�����ǂ̐i�W�ɔ������a�ǂ�������\��������̂ŁC�{�ܓ��^�J�n��̐g�̏̕ω��ɂ��ẮC���ׂĒS����ɕ��邱�ƁD
�Q�j�{�܂̒������^�ɂ��e���ɂ��ẮC���݂̂Ƃ���s���ł��邱�ƁD
�R�j�{�܂ɂ�鎡�Â��C���I�ڐG�܂��͌��t�������ɂ�鑼�҂ւ�HIV�����̊댯�����������邱�Ƃ͖��炩�ł͂Ȃ����ƁD
�S�j�{�ܓ��^�J�n��C�S����̎w���Ȃ��ɗp�ʂ�ύX������C���p�𒆎~�����肵�Ȃ����ƁD
�T�j�{�܂͕��p��܂Ƒ��ݍ�p���N�������Ƃ����邽�߁C���p���̂��ׂĂ̖�܂�S����ɕ��邱�Ɓi�u���ݍ�p�v�̍��Q��]�j�D�܂��C�{�܂Ŏ��Ò��ɐV���ɑ��̖�܂p����ꍇ�C���O�ɒS����ɑ��k���邱�ƁD
�U�j�{�܂��܂�HIV�����ǎ��Ö�̎g�p�ɂ��̎��b�̍ĕ��z�^�~�ς��������\�������邱�ƁD
�V�j�J���g���E���L�b�h�̓G�^�m�[��42.4�����ܗL����D�{�܂̐��l�P���p�ʁi10mL�j�ł̓G�^�m�[����4.3mL�ɑ�������̂ŁC�����Ԃ̉^�]���댯����Ƃ�����ۂɂ͒��ӂ��邱�Ɓi�u���ݍ�p�v�̍��Q�Ɓj�D
�Q�D�{�܂́C�`�g�N���[��P450�iCYP3A�j�ɑ��鋣���I�j�Q��p�ɂ��C��X�̖�܂Ƃ̑��ݍ�p������Ă���D�o���R�Ì��܁i�����t�@�����J���E�����j�C�Ɖu�}���܁i�V�N���X�|�����C�^�N�������X���a�����j�����È�̋������̖�܂p����ꍇ�C���p��܂������Z�x�̃��j�^�[��f�@�̉𑝂₷�ȂǐT�d�ɓ��^��������.�i�u���ݍ�p�v�̍�����сu�����v�̍��Q�Ɓj�D
�R�DHIV�v���e�A�[�[�j�Q��ɂĎ��Ò��̊��҂ɂ����ē��A�a�̔��ǂ∫���C�������͍������ǁi�R���X�e���[���C�g���O���Z���C�h�̏㏸�j������Ă���̂ŁC����I�Ȍ��������s�����ƁD
�S�D�{�܂̎g�p��Œ������g���O���Z���C�h�㏸���X��������Ă���D�������p�[�[�C�A�~���[�[�C�g���O���Z���C�h��������I�Ȍ��������s�����ƁD
�T�D5. �{�܂͊̑��ő�ӂ���邽�߁C�����̋@�\��Q�̂��銳�҂ł͖{�܂̌����Z�x���㏸���邨���ꂪ����̂�����I�Ɋ̋@�\�����l������Z�x���蓙���s���C�T�d�ɓ��^�������ƁD�܂��̋@�\��Q�̂Ȃ����҂ɂ����Ă��g�p���Ԃ̒��Z���킸����I�Ȋ̋@�\�����l���̑�����s���C�ώ@���\���ɍs�����ƁD
�U�DHIV�����ǎ��Ö�p�������҂ɑ̎��b�̍ĕ��z�^�~�ρi�����C �̊����̎��b�����C �������̎��b�����C �싍���C�u�N�b�V���O�l�e�e�v�j�������ꂽ�Ƃ̕�����D
�V�DHIV�v���e�A�[�[�j�Q��ɂĎ��Ò��̌��F�a�̊��҂ɂ����ē˔����̏o�����ߏǂ��͂��߂Ƃ���o�����ۂ̑���������Ă���D
�{�܂͊̃`�g�N���[��P450�iCYP�j�̃A�C�\�U�C���ł���CYP3A�Ƃ̐e�a���������iin vitro�j�D���CYP3A�ő�ӂ�����܂�{�܂ƕ��p���邱�Ƃɂ��C���p��܂̑�ӂ������I�ɑj�Q���C���p��܂̌����Z�x���㏸�����邱�Ƃ�����D�����CYP3A��U�������܂�{�܂ƕ��p����ƁC�{�܂̌����Z�x���ቺ���邱�Ƃ�����D�܂��CCYP3A��j�Q�����܂Ƃ̕��p�Ŗ{�܂̌����Z�x���㏸���邱�Ƃ�����D ���̖�܂Ƃ̑��ݍ�p�́C�\�Ȃ��ׂĂ̑g�ݍ��킹�ɂ��Č�������Ă���킯�ł͂Ȃ��̂ŁC���p�ɍۂ��Ă͗p�ʂɗ��ӂ��ĐT�d�ɓ��^���邱�Ɓi�u�����v�̍��Q�Ɓj�D
| ��ܖ���(��ʖ�[��\�I������]) | �Տ��Ǐ�E�[�u���@ | �@���E�댯���q |
|---|---|---|
| �|�_�t���J�C�j�h�m�^���{�R�[���n ���_�v���p�t�F�m���m�v���m���n �s���W�h�m�I�[���b�v�n �A�X�e�~�]�[���m�q�X�}�i�[���n �e���t�F�i�W�� �m�g�����_���n �V�T�v���h�m�A�Z�i�������n |
�s�����̂悤�ȏd�ĂȂ܂��͐����Ɋ댯���y�ڂ��悤�Ȏ��ۂ��N���������ꂪ����D | �{�܂̃`�g�N���[��P450 �ɑ��鋣���I�j�Q��p�ɂ��C���p�����ꍇ�����̖�܂̌����Z�x���啝�ɏ㏸���邱�Ƃ��\�������D |
| ��Ύ_�G���S�^�~�� �m�J�t�F���S�b�g�n ���V���_�W�q�h���G���S�^�~���m�W�q�f���S�b�g���n |
�������ǝ��k�Ȃǂ̏d�ĂȂ܂��͐����Ɋ댯���y�ڂ��悤�Ȏ��ۂ��N���������ꂪ����D | |
| �~�_�]�����m�h���~�J���n �g���A�]�����m�n���V�I���n |
�ߓx�̒��Â�ċz�}�����N���������ꂪ����D |
| ��ܖ���(��ʖ�[��\�I������]) | �Տ��Ǐ�E�[�u���@ | �@���E�댯���q |
|---|---|---|
| �V���f�i�t�B�� | �V���f�i�t�B���̌����Z�x���㏸���C�ጌ���C���_�C���o��Q��u�N�������̃V���f�i�t�B���̕���p���������邨���ꂪ����D | �{�܂�CYP3A�ɂ�邱����܂̑�ӂ������I�ɑj�Q���邽�߁D |
| �V���o�X�^�`�� �A�g���o�X�^�`�� �Z���o�X�^�`�� |
������܂̌����Z�x���㏸���C������܂̕���p���������₷���Ȃ邨���ꂪ����D���ɃV���o�X�^�`���Ƃ̕��p�͂Ȃ�ׂ������邱�ƁD | |
| �C�g���R�i�]�[�� �P�g�R�i�]�[���� |
������܂̌����Z�x���㏸���邨���ꂪ����D���p�ʁi200mg/����������j���^�͔����邱�ƁD | |
| �t�F���W�s���C�j�t�F�W�s���C�j�J���W�s�����̃W�q�h���s���W�����i��L����Ca�h�R�� ���t�@�u�`���i�����������j |
������܂̌����Z�x���㏸���邨���ꂪ����D | |
| �N�����X���}�C�V�� | �t�@�\��Q�̂��銳�҂ł̓N�����X���}�C�V���̌����Z�x���㏸���邨���ꂪ����D | |
| �V�N���X�|���� �^�N�������X���a�� |
������܂̌����Z�x���㏸���邨���ꂪ����D���È�̃��j�^�����O���s�����Ƃ��]�܂��� | |
| �A�~�I�_���� �x�v���W�� ���h�J�C�� �L�j�W�� |
������܂̌����Z�x���㏸���邨���ꂪ����D�����Z�x�̃��j�^�����O���s�����Ƃ��]�܂����D | �{�܂��̖�Ӎy�f�ɂ�邱����܂̑�ӂ������I�ɑj�Q���邽�߂ƍl�����Ă���D |
| �Z�C���E�I�g�M���\�E �iSt. John's Wort, �Z���g�E�W���[���Y�E���[�g�j�ܗL�H�i |
�{�܂̑�ӂ����i���ꌌ���Z�x���ቺ���邨���ꂪ����̂ŁC�{�ܓ��^���̓Z�C���E�I�g�M���\�E�ܗL�H�i��ێ悵�Ȃ��悤���ӂ��邱��. | �Z�C���E�I�g�M���\�E�ɂ��U�����ꂽ�̖�Ӎy�f�i�`�g�N���[��P450�j���{�܂̑�ӂ𑣐i���C�N���A�����X���㏸�����邽�߂ƍl�����Ă���D |
| ���t�@���s�V�� | �{�܂̌����Z�x���ቺ���C���Ì��ʂ����コ���邨���ꂪ����D���p�͂Ȃ�ׂ������邱�ƁD | ������܂�CYP3A��U�����邽�߁D |
| �J���o�}�[�s�� �t�F�m�o���r�^�[�� �t�F�j�g�C�� �f�L�T���^�]�� |
���s�i�r���̌����Z�x���ቺ���邨���ꂪ���� | |
| �����t�@�����J���E�� | �����t�@�����̌����Z�x�ɉe����^���邱�Ƃ�����DINR�̃��j�^�����O���s�����Ƃ��]�܂����D | |
| �G�`�j���G�X�g���W�I�[�� | �G�`�j���G�X�g���W�I�[���̌����Z�x���ቺ���邨���ꂪ����D�G�X�g���Q�����x�[�X�Ƃ���o����D�܂ƕ��p����ꍇ�́C���̔�D�@�ɕύX���邩��D�@��lj�����K�v������D | |
| �W�X���t�B�����C�V�A�i�~�h�C���g���j�_�]�[�����̃W�X���t�B�����l��p��L������ | �W�X���t�B�������邢�̓V�A�i�~�h�|�A���R�[���������N���������ꂪ���� | �J���g���E���L�b�h�̓G�^�m�[��42.4�����ܗL���邽�߁D |
| ��ܖ��� | �Տ��Ǐ�E�[�u���@ | �@���E�댯���q |
|---|---|---|
| �T�j���u�W�� ���~�u�W�� |
���ݍ�p�͔F�߂��Ă��Ȃ��D | |
| �W�_�m�V�� | �{�܂̋z���ɉe����^���邨���ꂪ����̂ŁC�W�_�m�V���͋��ɕ��p���邱�Ƃ��]�܂����D | �W�_�m�V�����܂Ɋ܂܂��pH�����܂ɂ��ݓ�pH���㏸���C�{�܂̋z���ɉe����^���邨���ꂪ����D |
| �W�h�u�W�� �A�o�J�r�� |
������܂̌����Z�x��ቺ������\��������D�Տ��I�ȉe���͕s���ł���D | �{�܂��O���N�����_������U�����邽�߁D |
| ��ܖ��� | �Տ��Ǐ�E�[�u���@ | �@���E�댯���q |
|---|---|---|
| �l�r���s�� �G�t�@�r�����c |
���s�i�r���̌����Z�x���ቺ���邨���ꂪ���� | ������܂�CYP3A��U�����邽�߁D |
| �f���r���W�� | ���s�i�r���̌����Z�x���㏸���邨���ꂪ���� | �f���r���W����CYP3A�ɂ�郍�s�i�r���̑�ӂ������I�ɑj�Q���邽�߁D |
| ��ܖ��� | �Տ��Ǐ�E�[�u���@ | �@���E�댯���q |
|---|---|---|
| �A���v���i�r�� �C���W�i�r�� �T�L�i�r�� �l���t�B�i�r�� |
������܂̌����Z�x���㏸����\��������D | �{�܂�CYP3A�ɂ����邱����܂̑�ӂ������I�ɑj�Q���邽�߁D |
�C�O�ōs��ꂽ��I�^II������ё�III���Տ������i���Ǘ�612��j�ɂ����ĔF�߂�ꂽ��ȕ���p�������C�q�C�C���͏Ǔ��ł������D�����͌y�x�`�����x�ł������D
���̂悤�ȏǏ����ꂽ�ꍇ�ɂ́C���^�𒆎~����ȂǓK�ȏ��u���s�����ƁD����畛��p�Ƃ̈��ʊW�͊m������Ă��Ȃ��D
�������C���A�a����ѓ��A�a�̈�����������邱�Ƃ�����D�mHIV�v���e�A�[�[�j�Q��ɂĎ��Ò��̊��҂ɓ��A�a�C���A�a�̈�������э������������ꂽ�Ƃ̕�����D�ꕔ�̗�ł̓C���X�����܂��͌o�����A�a��̓��^�J�n��p�ʒ��߂��K�v�ƂȂ����D�ꕔ�ł͓��A�a���P�g�A�V�h�[�V�X��������Ă���DHIV�v���e�A�[�[�j�Q��𒆎~������̈ꕔ�ł́C�����������������D�n
�X����������邱�Ƃ�����D�m�q�C�C�q�f�C�������̗Տ��Ǐ�⌌�����p�[�[�C�A�~���[�[�C�g���O���Z���C�h���̌����l�ُ킪�����ꂽ�ꍇ���X�����^�����ƁD�n
HIV�v���e�A�[�[�j�Q��ɂĎ��Ò��̌��F�a�̊��҂ɂ����ē˔����̏o�����ߏǂ��͂��߂Ƃ���o�����ۂ̑���������Ă���D���̂悤�ȏǏ����ꂽ�ꍇ�ɂ͌��t�Ìň��q�𓊗^����ȂǓK�ȏ��u���s�����ƁD
�̋@�\��Q�C�̉���������邱�Ƃ�����̂ŁC�ώ@���\���ɍs�����ƁD
���̏Ǐ����ꂽ�ꍇ�ɂ́C�Ǐ�ɉ����ēK�ȏ��u���s�����ƁD
| ��ށ^�p�x | 2%�ȏ� | 2%���� | �p�x�s�� |
|---|---|---|---|
| �S�g�Ǐ� | ���͏ǁC���� | �u�ɁC�w���ɁC���ɁC �������ɁC �����C �X�E�C �����C����������C��ʕ���C ���M�C �C���t���G���U�l�nj�Q�C����ӊ��C�E�C���X���� | �̎��b�̍ĕ��z�^�~�ρi�����C�̊����̎��b�����C�������̎��b�����C�싍���j |
| �z�� | �[�ݐ����𐫐Ö����C�������C�S�����i�C���𐫐Ö����C���lj� | ||
| ������ | �����C�q�C�C�����C�q�f�C�ُ�ցC�A�~���[�[�㏸ | �����Ǐ�Q�C�����s�ǁC�ے��C�H�~�s�U�C�_�X���C�֔��C���������C������Q�C�����C�����сC�H�����C��֎��ցC�݉��C�ݒ����C�o�����咰���C�H�~���i�C���t�B���C�������C��ᇐ������� | |
| �̑� | �̋@�\�����ُ�C�r�����r���l�㏸ | ||
| ���t | �������� | �n���C�����������ǁC�����p�ߏǁC�D�������� | |
| ��ӁE�h�{ | ���R���X�e���[���㏸�C�g���O���Z���C�h�㏸�C�i�g���E���ቺ | ���|�W�X�g���t�B�[�C�r�^�~�����R�C�E���C�ϓ��\�ቺ�C���_���A�V�h�[�V�X�C�얞�C�̏d�����C�����A�_�㏸�C���@�����ቺ | |
| ������n | �N�b�V���O�nj�Q�C�b��B�@�\�ቺ�C�����^���[ | ||
| �؍��i | �ؓ����C�ߒɁC�ߏ� | ||
| ���_�_�o�n | �s���C�ٖ��C���z�C���Y�C�s���C�^�������C�����C�}�����C�߂܂��C�W�X�L�l�W�A�C����s����C�]�ǁC�ْ����i�C���r�h�[���ށC�_�o�ߕq�C�j���[���p�V�[�C���o�ُ�C�����_�o���C�X���C�v�l�ُ�C�U | ||
| �畆 | ���]�C��ጁC�E���C�畆�����C���E���畆���C����ǁC����u�]����]�C�����C�����y�C�ǐ��畆��ᇁC�畆�ϐF�C���� | ||
| �ċz�� | �C�ǎx���C�ċz�����C�x����C���@�o�� | ||
| ���o�� | ���ُ͈�C�Ꮎ���C�������C���o�|���C���� | ||
| ��A�� | �ː��ُ�C�j���@�\�ቺ�C�t���C�A�ُ� |
����҂ɂ�������Ԃɂ��Ă͏\���Ȍ������Ȃ���Ă��Ȃ��D����҂ւ̓��^�ɍۂ��Ă͐����@�\�̒ቺ����э����ǁC���p��ܓ��ɒ��ӂ��邱�ƁD
�P�j�D�w�܂��͔D�P���Ă���\���̂���w�l�ɂ́C���Ï�̗L�v�����댯��������Ɣ��f�����ꍇ�ɂ̂ݓ��^���邱�ƁD�m�q�g�ɂ����ẮC�D�w��ΏۂƂ����K���\���Ȕ�r�������s���Ă��Ȃ��D���������i���b�g�j�ł́C���s�i�r���ƃ��g�i�r���i�Q�F�P�j���ő�ϗe�ʂœ��^���C�����Տ��p�ʂœ��B������Z�x�����Ⴂ�����Z�x�ɓ��B���������C�D�s���ւ̉e���͔F�߂Ȃ������D
�D�P�����i���b�g����уE�T�M�j�Ƀ��s�i�r���E���g�i�r���𓊗^���������ł́C���^�Ɋ֘A�����`���ُ��F�߂Ȃ������D���b�g�ɂ����錟���ł�,�ꓮ���ɓŐ����������p�ʁi100mg/kg/���E50mg/kg/���j�ɂ����āC�����Ő��i�z����C�َ��������̒ቺ�C�َ��̏d�̒ቺ�C���i�ψق���э����x���̔������㏸�j���F�߂�ꂽ�D���Y�����b�g�ɂ����Ă͔����Ő��i����21���ڂ܂łَ̑��������ቺ�j���F�߂�ꂽ.�E�T�M�ɂ����錟���ł́C�ꓮ���ɓŐ����������p�ʁi80mg/kg/���E40mg/kg/���j�ɂ�����,�����Ő���F�߂Ȃ������D�n
�Q�j�����w�ɓ��^����ꍇ�ɂ́C�����𒆎~�����邱�ƁD�m�č����a�Ǘ��Z���^�[�iCDC�j�́CHIV�`�d������邽�߁CHIV�z���̕�e�͎����������悤�������Ă���D���s�i�r���͓��`�Ɉڍs���邱�Ƃ�����Ă���i���b�g�j�D�q�g���`�ւ̖{�܂̈ڍs�͕s���ł���D�n
�U�����ȉ��̓����ɑ�����S���͊m�����Ă��Ȃ��D12�Έȉ���HIV�����Ǐ����ɑ���g�p�o���͏��Ȃ����C�L�Q���ۂ̔����ɂ����Ă͐��l�Ƃ̍��͔F�߂��Ă��Ȃ��D
�����ɂ����钷�������������͏I�����Ă��Ȃ��D�������CS. typhimurium ��E. coli��p���镜�A�ˑR�ψَ����C�}�E�X�����p��זE��p���鎎���C�}�E�X��p���鏬�j��������уq�g�����p��זE��p������F�ُ̈펎���ł́C�ψٌ�������F�ُ̈�U���\�͔F�߂��Ȃ������D
�J���g���E���L�b�h�̉ߗʓ��^�ł́C�}���A���R�[�����ł��N�����\��������D �{�܂̃q�g�ɂ�����}���ߗʓ��^�̌o���͏��Ȃ��D�ߗʓ��^���ɂ͕���p�̔����ɒ��ӂ���ƂƂ��ɁC���҂̃o�C�^���T�C���̃��j�^�����O��Տ���Ԃ̊ώ@�Ȃǂ̈�ʓI�Ȏx���Ö@���s���D�K�v�ɉ����čÓf��ݐ����s���C���z���̖�܂���������D�����Y�𖢋z����܂̏����Ɏg�p���Ă��ǂ��D�{�܂̒`�������������������߁C���͂ɂ�鏜�����ʂ͒Ⴂ�D
HIV�v���e�A�[�[�j�Q��i���ɋt�]�ʍy�f�j�Q��ƕ��p��ɂ����āj�ɂ��CK�iCPK�j�㏸�C�ؓ����C�؉��C�܂�ɉ���ؗZ���ǂ������Ƃ̕�����D
�j������l�����HIV�z�����҂ɑ����g�i�r���̕��p�̗L���ɂ�胍�s�i�r���̖��Ԃ����������Ƃ���C����l�|���ҊԂō���F�߂Ȃ������D���s�i�r���͎��CYP3A�ɂ���ӂ����D���g�i�r����CYP3A�ɂ����郍�s�i�r���̑�ӂ������I�ɑj�Q���邱�ƂŃ��s�i�r���̌����Z�x���㏸������D�{��400mg�E100mg BID�𓊗^����HIV�z�����҂ɂ����郍�s�i�r���̒��������Z�x�́C���g�i�r���Z�x��15�`20�{�ł������D���g�i�r���̌����Z�x�́C���g�i�r��600mg BID�𓊗^�����ꍇ�̌����Z�x�̂V%�����ł������D���s�i�r����in vitro EC50�́C���g�i�r���̖�10���̂P�ł���D���Ȃ킿�{�܂̍R�E�C���X�����́C���s�i�r���ɂ����̂ł���D HIV�z�����l����21���ɑ��C�{��400mg�E100mg���P���Q��C�R�`�S�T�Ԃɂ킽�蓊�^�����ꍇ�̃��s�i�r���ƃ��g�i�r���̒���Ԍ����Z�x�̕��ϒl�����}�Ɏ����D
�H�����o�����^�ɋy�ڂ��e��
���b�ܗʂ������x�̐H���i500�`682 kcal�C22.7�`25.1%�͎��b�R���j�̌�ɖ{�܂R�J�v�Z���i400mg�E100mg�j��P�^�����ꍇ�C���s�i�r����AUC��48%�CCmax��23%�㏸�����i�����^�Ƃ̔�r�j�D�����b�H�i872 kcal�C55.8%�����b�R���j�̐ێ��ɖ{�܂𓊗^����ƁC�J�v�Z���܂̏ꍇ��AUC��97%�CCmax��43%�㏸�����i�����^�Ƃ̔�r�j�D�{�܂͐H�㓊�^���邱�ƁD
�����ɂ����郍�s�i�r���̌����`���������͖�98�`99%�ł���D���s�i�r���́C��-�P-�_�����`�����iAAG�j�ƃA���u�~���Ɍ������邪�C�e�a����AAG�̕��������D�{��400mg�E100mg�̓��^��ɔF�߂���Z�x�͈͂ł́C�����ɂ����郍�s�i�r���̌����`�����������͈��ł���C����l��HIV�z�����҂Ƃ̊Ԃɍ��͔F�߂��Ă��Ȃ��D
�q�g�̃~�N���]�[����p����in vitro�����ŁC���s�i�r���͎�Ɏ_����ӂ��邱�Ƃ������ꂽ�D���s�i�r���͊̃`�g�N���[��P450�̃A�C�\�U�C���̂����C��Ƃ���CYP3A�ɂ���ӂ����D���g�i�r����CYP3A�Ƌ����e�a���������CCYP3A�ɂ�郍�s�i�r���̑�ӂ�j�Q���邽�߃��s�i�r���̌����Z�x���㏸����D����l��14C�W�����s�i�r����p�����{��400mg�E100mg��P�^�����ꍇ�C�������ˊ�����89%�����ω��̂ɗR�������D���s�i�r���̎_����ӕ��́C�q�g�ł�13��ވȏ�F�߂��Ă���D4-oxo�̂����4-���_���̂̃G�s�}�[�e�Q�킪�R�E�C���X����������ӕ��ł��邪�C���̗ʂ͌����̑����ˊ������ʂ̂����ꕔ�ł���D���g�i�r���͑�Ӎy�f��U�����Ď���̑�ӂ�U�����邽�߁C���s�i�r���̑�ӂ��U������ƍl������D�������^���J�n����ƃ��s�i�r���̌����Z�x�͏��X�ɒቺ����10�`14����Ɉ��肷��D
14C�W�����s�i�r���E���g�i�r����400mg�E100mg��P�^�����ꍇ�C 10.4�}2.3%���A���ցC82.6�}2.5%�������֔r�����ꂽ�D�܂��C���ω��̖�2.2�����A���ցC19.8%�������֔r�����ꂽ�D�������^�����ꍇ�́C���^�������s�i�r���̂R�����������ω��̂Ƃ��ĔA���ɔr�����ꂽ�D���^�Ԋu��12���ԂƂ����ꍇ�̃��s�i�r���̗L���������͕���5�`6���ԂŁC�������̌o���N���A�����X�iCL/F�j�͂U�`�V L/hr�ł������D
�q�g�ɂ������Ȗ��ԃp�����[�^�i�{�� 400mg�E100mg BID�j
�{�܂́C��Ƃ���CYP3A�ɂ���ӂ����D�{�܂Ɋ܂܂�郊�g�i�r����CYP3A�Ɠ��ɋ����e�a���������C���CYP3A�ő�ӂ�����܂̑�ӂ������I�ɑj�Q����D �{�܂�CYP2D6��j�Q���邪�iin vitro�j�CCYP3A�قNj����j�Q���Ȃ��D�{�܂̗Տ��p�ʂɂ�����CYP2D6�ő�ӂ�����܂ƗՏ��I�ȑ��ݍ�p������\�������邪�C���̒��x�͕s���ł���D�{�܂͗Տ��p�ʂœ�����Z�x�͈̔͂ł�CYP2C9�CCYP2C19�CCYP2E1�CCYP2B6�܂���CYP1A2��j�Q���Ȃ��D�{�܂͎���̑�ӂ�U�����CCYP����уO���N�����_�����ő�ӂ����ꕔ�̕��p��܂̑�ӂ����i�����邱�Ƃ����炩�ɂ���Ă���iin vivo�j�D CYP3A��U�������܂́C���s�i�r���̃N���A�����X���㏸�����C ���s�i�r���̌����Z�x��ቺ������ƍl������D
�{�܂ƕ��p����\���̍�����܂ɂ��āC������܂̖��Ԃւ̉e�����ȉ��Ɏ����D
���ɒf��̂Ȃ����肷�ׂČ���l�ɂ�鎎���ł���
�P�D�A���v���i�r��450mg�����750mg�𑍍������e��
�Q�D���g�i�r���̖��Ԃ̓G�t�@�r�����c���p�̉e�����Ȃ�
�R�DHIV�z�������i�U������`12�j�̎���
�S�DHIV�z�����l���҂̎���
���@���s�@�ɂ�錟���in�F�{�܁{���p�^��C�{�ܒP�Ɠ��^��j
���ɒf��̂Ȃ����肷�ׂČ���l�ɂ�鎎���ł���
�P�D���t�@�u�`���̖��ω��̂�25-O-�E�A�Z�`���̂����v���C�p�ʂɂ��ĕ�������̂ɂ��ĉe�������߂��D
���@���s�@�ɂ�錟���in�F�{�܁{���p�^��C���p��P�Ɠ��^��j
N/A�F�f�[�^�Ȃ�
����l��ΏۂƂ������Ԏ����ɂ����ẮC�A���v���i�r��750mg BID�Ɩ{��400mg�E100mg BID�̕��p�ŁC�A���v���i�r��1,200mg BID���^���Ɠ��l��AUC���݂��CCmax�̒ቺ��Cmin�̏㏸���݂�ꂽ�D�C���W�i�r��600mg BID�Ɩ{��400 mg�E100mg BID�̕��p�ŁC�C���W�i�r��800mg TID���^���Ɠ��l��AUC���݂��CCmax�̒ቺ��Cmin�̏㏸���݂�ꂽ�D�T�L�i�r��800mg BID�Ɩ{��400mg�E100mg�̕��p�ŃT�L�i�r��1,200mg TID���^���Ɠ��l��AUC���݂��CCmin�̏㏸���݂���\�����������ꂽ�D�iCmax�Ɋւ����r�f�[�^�Ȃ��j�Տ��I�ȉe���ɂ��Ă͕s���ł���D
�RHIV��̎g�p�o���̂Ȃ����l��HIV�����NJ���653���ΏۂƂ��āC�{��400mg�E100mg BID�C�T�j���u�W������у��~�u�W���̕��p�Q�C�������̓l���t�B�i�r��750mg TID�C�T�j���u�W������у��~�u�W���̕��p�Q�ɖ���ׂɊ���t���C���{�ݓ�d�ӌ����������{���ł���D���҂͕���38�i19�`84�j�C57%�͔��l�C80%�͒j���ł������D�J�n���̕���CD4�����p������259 cells/mm�R �i�Q�`949 cells/mm�R�j�ŁC���ό���HIV RNA�ʂ�4.9 log10 copies/mL�i2.6�`6.8 log10copies/mL�j�ł������D ��24�T��HIV RNA�ʂ�400 copies/mL�����ł��������҂̔䗦�́C�J���g���Q79%�C�l���t�B�i�r���Q71%�ł������ip=0.015�j�D HIV RNA�ʂ̌o�߂͎��}�̒ʂ�D
HIV RNA�ʂ̕��z�ƒ��~���R�͎��̒ʂ�D
���@�����l�ُ���܂�
�����ǐՕs�\��C�R���v���C�A���X�s�Ǘ�C���ӓP��C�f�[�^����
HIV�����NJ���100���ΏۂƂ��āC�{�܂̊e�p�ʌQ�i��I�Q�F200mg�E100mg BID�����400mg�E100mg BID�C��II�Q�F400mg�E100mg BID�����400mg�E200mg BID�j�Ɋ���t���C���~�u�W���i150mg BID�j�ƃT�j���u�W�� �i40mg BID�j�p���鑽�{�ݓ�d�ӌ��������s�����D48�`72�T���o�߂������_�ŁC���҂͂��ׂĖ{��400mg�E100mg BID�̈�ʗՏ������Ɉڍs�����D���҂̕��ϔN���35�i21�`59�j�C70%�͔��l�C96%���j���ł������D�J�n���̕���CD4�����p������338 cells/mm�R�i�R�`918 cells/mm�R�j�C���ό���HIV RNA�ʂ�4.9 log10 copies/mL�i3.3�`6.3 log10 copies/mL�j�ł������D 72�T�Ԍ�CHIV RNA�ʂ�400�i50�jcopies/mL�����ł��������҂́C80%�i78%�j�ł���C�{��400 mg�E100 mg�Q�Ɋ���t����ꂽ51����CD4�����p�����͕��ς���256 cells/mm�R���������D�S��i�S%�j���L�Q���ۂ܂��͌����l�ُ�̂��ߒE�����C���̂����P��i�P%�j�͖{�܂̗L�Q���ۂɂ�钆�~��ł�����
HIV�v���e�A�[�[�j�Q����P�ܕ��p�����o�������邪��k�N���I�V�h�n�t�]�ʑj�Q��iNNRTI�j�̎g�p�o���̂Ȃ�HIV�����NJ���70����ΏۂƂ��āC�{�܂̊e�p�ʌQ�i400mg�E100mg BID�C 400mg�E200mg BID�j�Ɋ���t���C�l�r���s���i200mg BID�j��NRTI �Q�܂p���鑽�{�ݓ�d�ӌ����������{�����D���҂͕���40�i22�`66�j�C73%�����l��90%���j���ł������D�����J�n���ɂ����镽��CD4�����p������372 cells/mm�R�i72�`807 cells/mm�R�j�C���ό���HIV RNA�ʂ�4.0 log10 copies/mL�i2.9�`5.8 log10 copies/mL�j�ł������D 72�T��CHIV RNA�ʂ�400�i50�jcopies/mL�����ł��������҂́C75%�i58%�j�ł���C�{��400mg�E100mg�Q��36��ł�CD4�����p���������ς���174 cells/mm�R���������D72�T�Ԃ̓��^���Ԓ��C13��i19%�j���E�������D�U��i�X%�j���L�Q���ۂ܂��͌����l�ُ�ɂ����̂ŁC���̂����R��i�S%�j�͖{�܂̗L�Q���ۂɂ�钆�~��ł������D
�o����R�����ȏ�12�Έȉ���HIV�����Ǐ���100��RHIV���w�Ö@���o����44��C�o����56��C�i����NNRTI�̎g�p�o���Ȃ��j���C�{��230mg/m2�E57.5mg/m2 BID����� 300mg/m2�E75mg/m2 BID�̂Q�Q�ɂ킯�C�t�]�ʍy�f�j�Q��i���o���Q��d4T��3TC�p���C�o���Q�̓l�r���s���ɉ����Q�܂܂ł̃k�N���I�V�h�n�t�]�ʍy�f�j�Q��j�p���^�����D���҂͕��ςT�i�U�����`12�j��14%���Q�Έȉ��C�����J�n���ɂ����镽��CD4�����p������838 cells/mm�R�ŕ��ό���HIV RNA�ʂ�4.7 log10 copies/mL�ł������D 24�T��C���o���Q��82%�C�o���Q��66%�̊��҂�HIV RNA�ʂ� �@400 copies/��L�����Ɍ������C���ό����ʂ�1.77 log10 copies/mL�ł������DCD4�����p�����͕��ς���332 cells/mm3���������D�p�ʁC�N��ɗL�Ӎ��͂Ȃ��������CHIV�v���e�A�[�[�j�Q�o�����҂ł͗L���������������D�P�ႪHIV�����ǂɊ֘A�����Ǐ�ɂ��E�������D
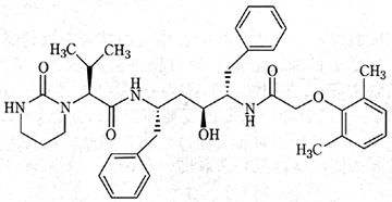
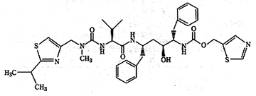
�{�܂̓��s�i�r���ƃ��g�i�r���̔z���܂ł���D ���s�i�r����HIV�v���e�A�[�[�̊�����j�Q���CHIV�v���e�A�[�[�ɂ��gag-pol�|���`�����̊J���}�����邱�ƂŁC�������������n����HIV�E�C���X�̎Y����}������D ���g�i�r���́CCYP3A�ɂ�郍�s�i�r���̑�ӂ������I�ɑj�Q���C���s�i�r���̌����Z�x�̏㏸�������炷�D �{�܂̍R�E�C���X�����́C���s�i�r���ɂ����̂ł���i�m�����n�̍��Q�Ɓj�D �{�܂�HIV�v���e�A�[�[�ɑ���I��I�e�a����L���C�q�g�̃A�X�p���e�B�b�N�v���e�A�[�[�ɑ��Ă͂قƂ�Ǒj�Q��p�������Ȃ��D
HIV�W�����ɂ�銴���㑁���̃����p�苅�זE������їՏ��������Ɋ������������������p���זE�ɂ����郍�s�i�r���̍R�E�C���X��p�����������D�q�g�����݉��ł́C�T��ނ�HIV-1�@�W�����ɑ��郍�s�i�r���̕���EC50��10-27nM�i0.006-0.017��g/mL�j�ł���C�U��ނ�HIV-1�@�Տ��������ɑ��郍�s�i�r���̕���EC50��4-11nM�i0.003-0.007��g/mL�j�ł������D50%�q�g�������݉��ł�HIV-1�@�W�����ɑ��郍�s�i�r���̕���EC50��65-289nM�i0.04-0.18��g/mL�j�ł���C7-11�{�̌��͒ቺ���݂�ꂽ�D
���s�i�r���ɑ��銴���ቺ����HIV-1�ψي������C���s�i�r���P�ƁC���邢�͗Տ����^���̌����Z�x�ł̃��s�i�r���ƃ��g�i�r���̑��݉���HIV-1��in vitro�p��|�{���s�����D�p��|�{�ŕ������ꂽ���̕\���^�ƈ�`�q�^�����������Ƃ���C���g�i�r���̑��݂̓��s�i�r���ϐ����̏o���ɉe�����y�ڂ��Ȃ����Ƃ��������ꂽ�iin vitro�j�D
HIV�v���e�A�[�[�j�Q��ԂŊώ@���������ϐ��͑��l�ł������D�{�܂̎��Âɂ���ă��s�i�r���ɑ��銴���ቺ�����E�C���X�̌����ϐ��Ɋւ�����͂قƂ�Ǔ����Ă��Ȃ��D ���s�i�r���ɑ���\���^�ϐ��̑�����F�߂�HIV�v���e�A�[�[�j�Q��g�p���̂���S�Ⴉ�瓾��ꂽ�������͖{�ܓ��^�O���烊�g�i�r���C�C���W�i�r���C�l���t�B�i�r���ɑ�������ϐ����ێ�����Ă������C�{�ܓ��^��Ɍ����ϐ����l�������D���o�E���h�������ׂẴE�C���X�̓A���v���i�r���ɑ��銴���\���Ɉێ����Ă������C�ア���̒ቺ���F�߂�ꂽ�ɂƂǂ܂����i���s�i�r���̍ő�99�{�Ɣ�r���C�A���v���i�r���ł͍ő�8.5�{�j�D�E�C���X�̃��o�E���h���o�������팱�҂̂����C�T�L�i�r���̎g�p�o���̂Ȃ��팱�җR���̂Q���́C�T�L�i�r���ɑ��銴���ێ����Ă����D
�P��ވȏ��HIV�v���e�A�[�[�j�Q��ɂ�鎡�Â��s���Ă�HIV RNA�ʂ�1,000 copies/mL���Ă������҂��瓾���Տ�������112���ɑ��郍�s�i�r����in vitro�R�E�C���X���������������Ƃ���C���s�i�r���ɑ���in vitro���ቺ�Ƃ̊֘A���݂�ꂽHIV�v���e�A�[�[��`�q�ψق́CL10F/I/R/V�C �@K20M/R�CL24I�CM46I/L�CF53L�CI54L/T/V�CL63P�CA71I/L/T/V�C V82A/F/T�CI84V�����L90M�ł������D �����ψق̔������ƃ��s�i�r��EC50�̒����l�̊W�����}�Ɏ����D�{�܂ɑ��銴��20�{����ϓ���������16���͂������10�C54�C63�����82�܂���84�Ԗڂɕψق�F�߂��D�����āC�A�~�m�_��20�C24�C46�C53�C71�����90�Ԗڂ̂����R�ӏ��i�����l�j�ɕψق�F�߂��D
���s�i�r���ɑ���in vitro���ቺ�̗Տ��I�Ӌ`���������邽�߁C������HIV�v���e�A�[�[�j�Q��ɂ�鎡�Âɂ�������炸HIV RNA�ʂ�1,000 copies/mL��������56���ɑ��{�܂𓊗^���C�E�C���X�̈�`�q�^�ƕ\���^��]�������D�J�n���ɕ�������56���ɑ��郍�s�i�r����EC50�́C�쐫���ɑ���EC50��0.5�`96�{�ł������D24�T�Ԃɂ킽��{�܁C�G�t�@�r�����c����уk�N���I�V�h�n�t�]�ʍy�f�j�Q��𓊗^������C������HIV RNA�ʂ�400 copies/mL�ȉ��ƂȂ������҂́C�J�n�����s�i�r������10�{�����C10�`20�{�C20�`40�{�C�����40�{���̊��ҌQ�ł��ꂼ��93%�i27/29�j�C78%�i�V/�X�j�C67% �i�S/�U�j�����50% �i�S/�W�j�ł������D����Ƀ��s�i�r���ɑ���in vitro���ቺ�Ɗ֘A����HIV�v���e�A�[�[�̕ψِ����O�`�T�C�U�`�V�C�W�`10�̊��҂̂������ꂼ��96%�i24/25�j�C76%�i16/21�j�����33%�i�Q/�U�j�ŃE�C���X�w�I���ʂ�F�߂��D
227���̍RHIV���w�Ö@���o���҂����HIV�v���e�A�[�[�j�Q����g�p���Ώۂɂ�����II���Տ������ł́C12�T�Ԉȏ�ɂ킽��{�܂p������ɃE�C���X�ʂ���ʉ\�i>400 copies/mL�j�ł��������҂S����蕪�������Ƃ���C�����J�n���̕������ɔ�ׁC���s�i�r���ɑ��銴���������ቺ���Ă����D�����4��̊J�n���������ɑ��郍�s�i�r����EC50�̕��ς́C�쐫���ɂ�����EC50��2.78�{�i�͈́F0.7�`5.2�{�j�ł���C�����J�n���ɂ����邷�ׂĂ̕������ł́CHIV�v���e�A�[�[�j�Q��ɑ��đϐ��������炷�ψق��S�ӏ��ȏ�ɔF�߂�ꂽ�D�����S��̊��҂ɑ��{�܂𓊗^�����ꍇ�C���s�i�r����EC50�̕��ς́C�쐫����55�{�i�͈�9.4�`99�{�j�܂ŏ㏸���C�A�~�m�_�z���10�C24�C33�C46�C54�C63�C71����с^�܂���82�Ԗڂ̂����Q�`�R�ӏ��ɐV���ȕψق��݂�ꂽ�D


�J���g���E�\�t�g�J�v�Z�� �F180�J�v�Z���^�r�~�P
�J���g���E���L�b�h �F160mL�^�r�~�P
�A�{�b�g�@�W���p��������Ё@�����葊�k��
��540-0001 ���s������錩2-2-53
06-6942-2065